mp-17149/Sr3ErRhO6/anharm

Harmonic properties

../../_images/fig_bandos_pr14201.png

(a) Phonon dispersion with participation ratio and DOS

../../_images/fig_thermo14201.png

(b) Thermodynamic properties

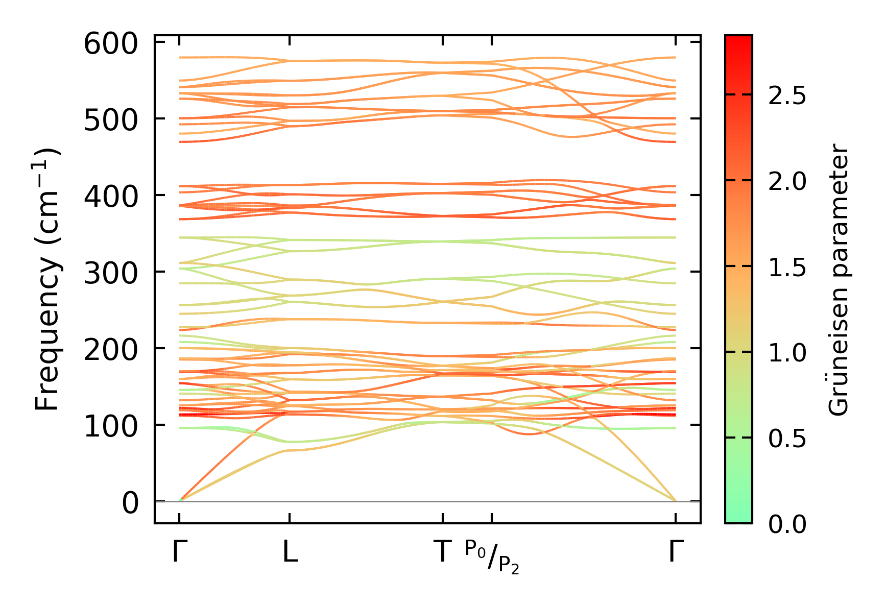
Grüneisen parameters

../../_images/fig_gru_all6038.png

(a) Grüneisen parameters

../../_images/fig_gruneisen6038.png

(b) Phonon dispersion with Grüneisen parameters

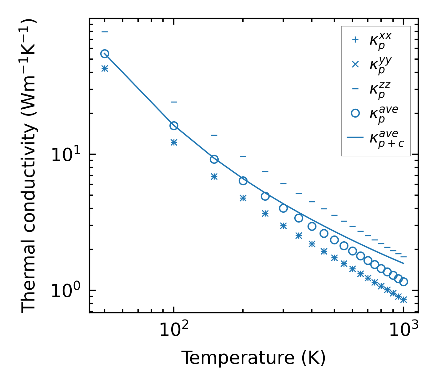
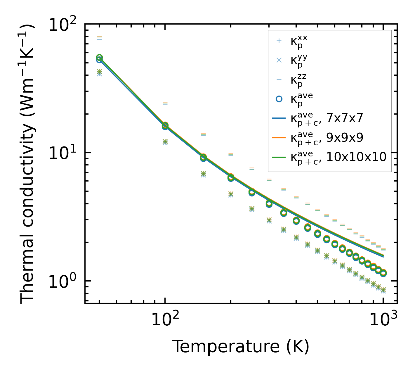
Thermal conductivity

3-phonon (LASSO) — q-mesh: 10x10x10, supercell: 1x1x1

../../_images/fig_kappa11363.png

(a) Temperature-dependent lattice thermal conductivity

../../_images/fig_kappa_vs_grain_size6115.png

(b) Peierls lattice thermal conductivity w.r.t grain size

Phonon lifetime and scattering rates

../../_images/fig_lifetime5977.png

(a) Phonon lifetime due to phonon-phonon scattering

../../_images/fig_scat_rates5976.png

(b) Phonon scattering rates

Cumulative and spectral thermal conductivity

../../_images/fig_cumu_frequency5977.png

(a) Spectral and cumulative thermal conductivity w.r.t frequency

../../_images/fig_cumu_mfp5976.png

(b) Spectral and cumulative thermal conductivity w.r.t MFP

Force constants

../../_images/fig_fc213829.png

(a) Force constants w.r.t atomic distance

Summary

../../_images/fig_kappa11364.png

(a) Temperature-dependent lattice thermal conductivity

../../_images/fig_times23730.png

(b) Computation time