mp-17434/K2SmF5/anharm

Equation of state

../../_images/fig_bm7153.png

(a) Equation of state

Harmonic properties

../../_images/fig_bandos_pr14277.png

(a) Phonon dispersion with participation ratio and DOS

../../_images/fig_thermo14277.png

(b) Thermodynamic properties

Grüneisen parameters

../../_images/fig_gru_all6080.png

(a) Grüneisen parameters

../../_images/fig_gruneisen6080.png

(b) Phonon dispersion with Grüneisen parameters

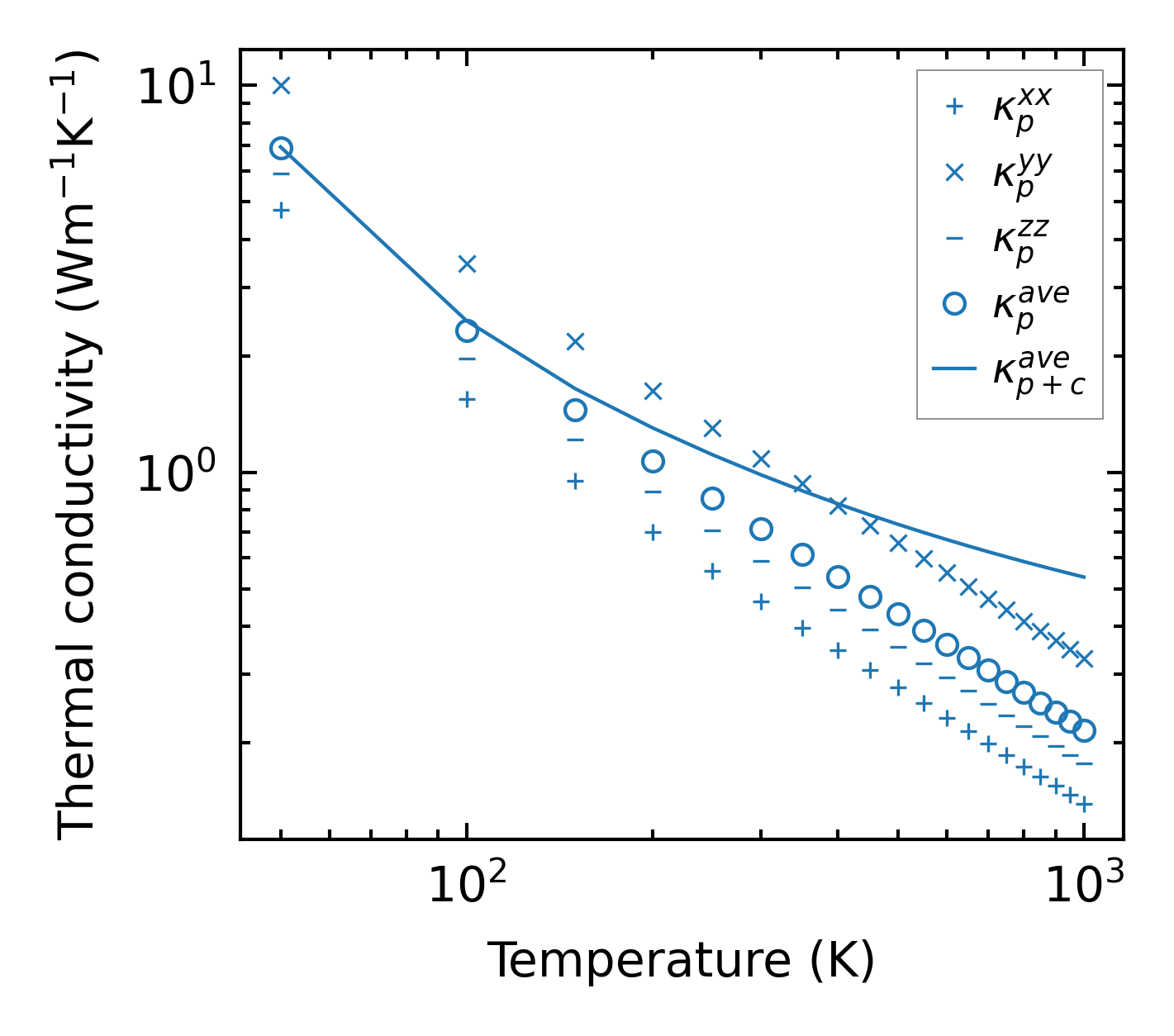
Thermal conductivity

3-phonon (LASSO) — q-mesh: 6x9x10, supercell: 1x2x2

../../_images/fig_kappa11439.png

(a) Temperature-dependent lattice thermal conductivity

../../_images/fig_kappa_vs_grain_size6158.png

(b) Peierls lattice thermal conductivity w.r.t grain size

Phonon lifetime and scattering rates

../../_images/fig_lifetime6019.png

(a) Phonon lifetime due to phonon-phonon scattering

../../_images/fig_scat_rates6018.png

(b) Phonon scattering rates

Cumulative and spectral thermal conductivity

../../_images/fig_cumu_frequency6019.png

(a) Spectral and cumulative thermal conductivity w.r.t frequency

../../_images/fig_cumu_mfp6018.png

(b) Spectral and cumulative thermal conductivity w.r.t MFP

Force constants

../../_images/fig_fc213905.png

(a) Force constants w.r.t atomic distance

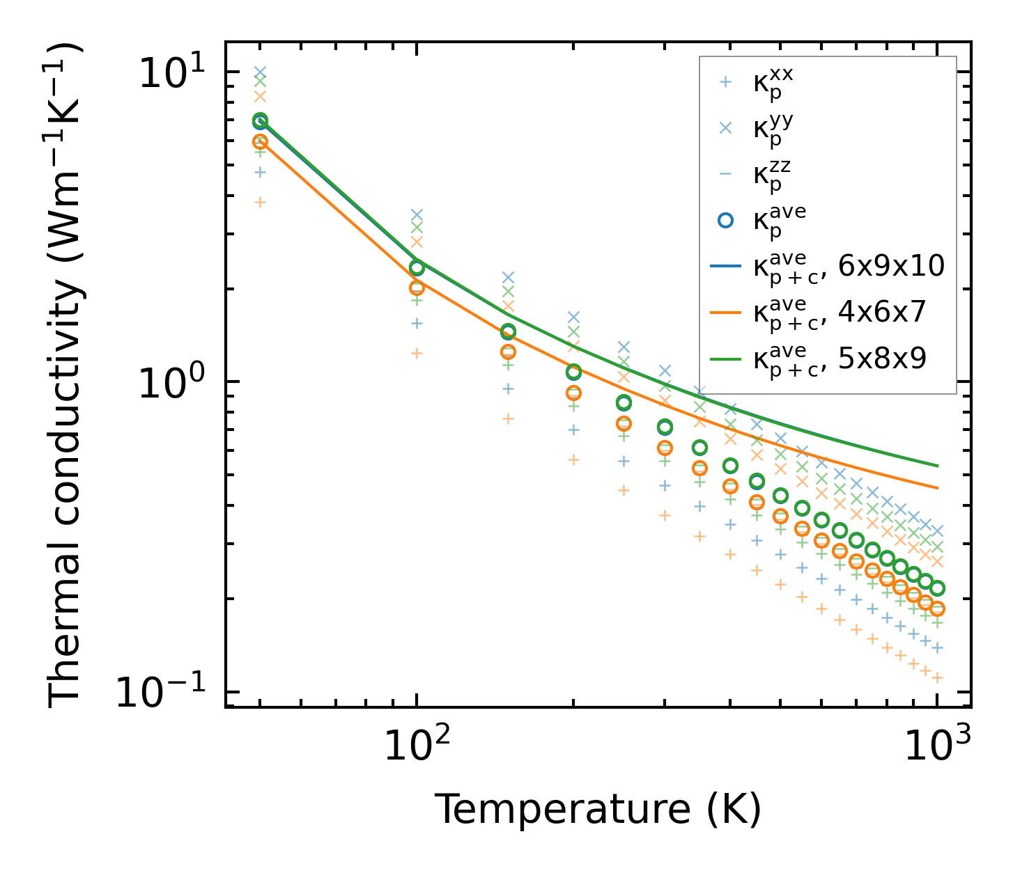
Summary

../../_images/fig_kappa11440.png

(a) Temperature-dependent lattice thermal conductivity

../../_images/fig_times23850.png

(b) Computation time