mp-17048/Rb2WS4/anharm

Harmonic properties

../../_images/fig_bandos_pr14171.png

(a) Phonon dispersion with participation ratio and DOS

../../_images/fig_thermo14171.png

(b) Thermodynamic properties

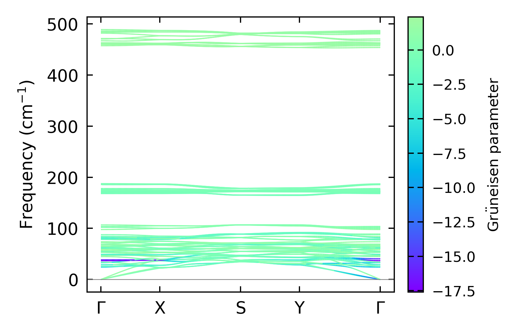
Grüneisen parameters

../../_images/fig_gru_all6018.png

(a) Grüneisen parameters

../../_images/fig_gruneisen6018.png

(b) Phonon dispersion with Grüneisen parameters

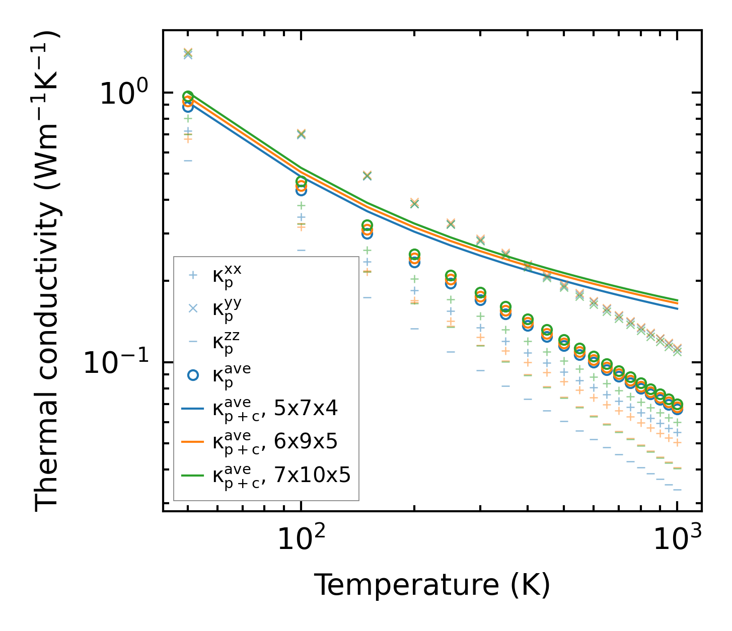
Thermal conductivity

3-phonon (LASSO) — q-mesh: 7x10x5, supercell: 2x2x1

../../_images/fig_kappa11326.png

(a) Temperature-dependent lattice thermal conductivity

../../_images/fig_kappa_vs_grain_size6096.png

(b) Peierls lattice thermal conductivity w.r.t grain size

Phonon lifetime and scattering rates

../../_images/fig_lifetime5959.png

(a) Phonon lifetime due to phonon-phonon scattering

../../_images/fig_scat_rates5958.png

(b) Phonon scattering rates

Cumulative and spectral thermal conductivity

../../_images/fig_cumu_frequency5959.png

(a) Spectral and cumulative thermal conductivity w.r.t frequency

../../_images/fig_cumu_mfp5958.png

(b) Spectral and cumulative thermal conductivity w.r.t MFP

Force constants

../../_images/fig_fc213799.png

(a) Force constants w.r.t atomic distance

Summary

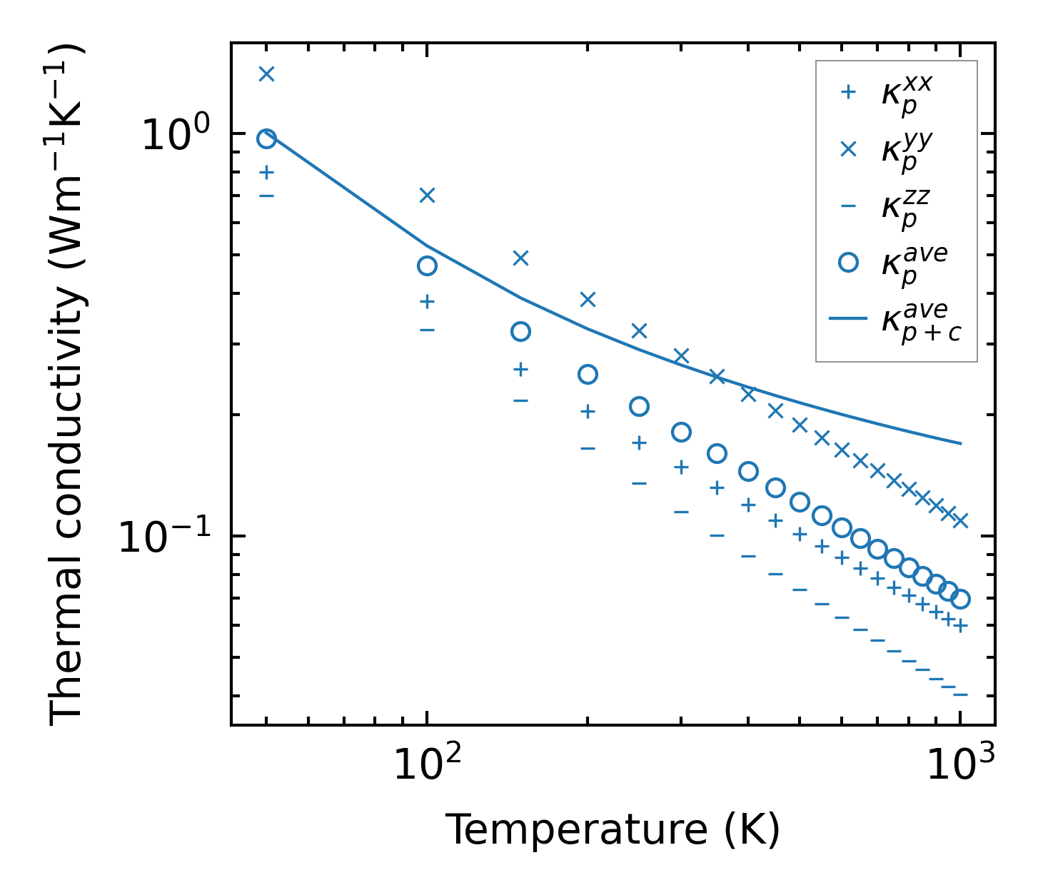
../../_images/fig_kappa11327.png

(a) Temperature-dependent lattice thermal conductivity

../../_images/fig_times23689.png

(b) Computation time