mp-17729-2/PrTlMo2O8/anharm

Equation of state

../../_images/fig_bm7007.png

(a) Equation of state

Harmonic properties

../../_images/fig_bandos_pr13998.png

(a) Phonon dispersion with participation ratio and DOS

../../_images/fig_bandos18381.png

(b) Phonon dispersion and DOS

../../_images/fig_thermo13998.png

(c) Thermodynamic properties

Grüneisen parameters

../../_images/fig_gru_all5930.png

(a) Grüneisen parameters

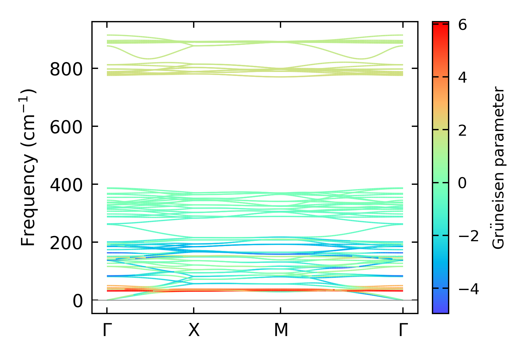
../../_images/fig_gruneisen5930.png

(b) Phonon dispersion with Grüneisen parameters

Thermal conductivity

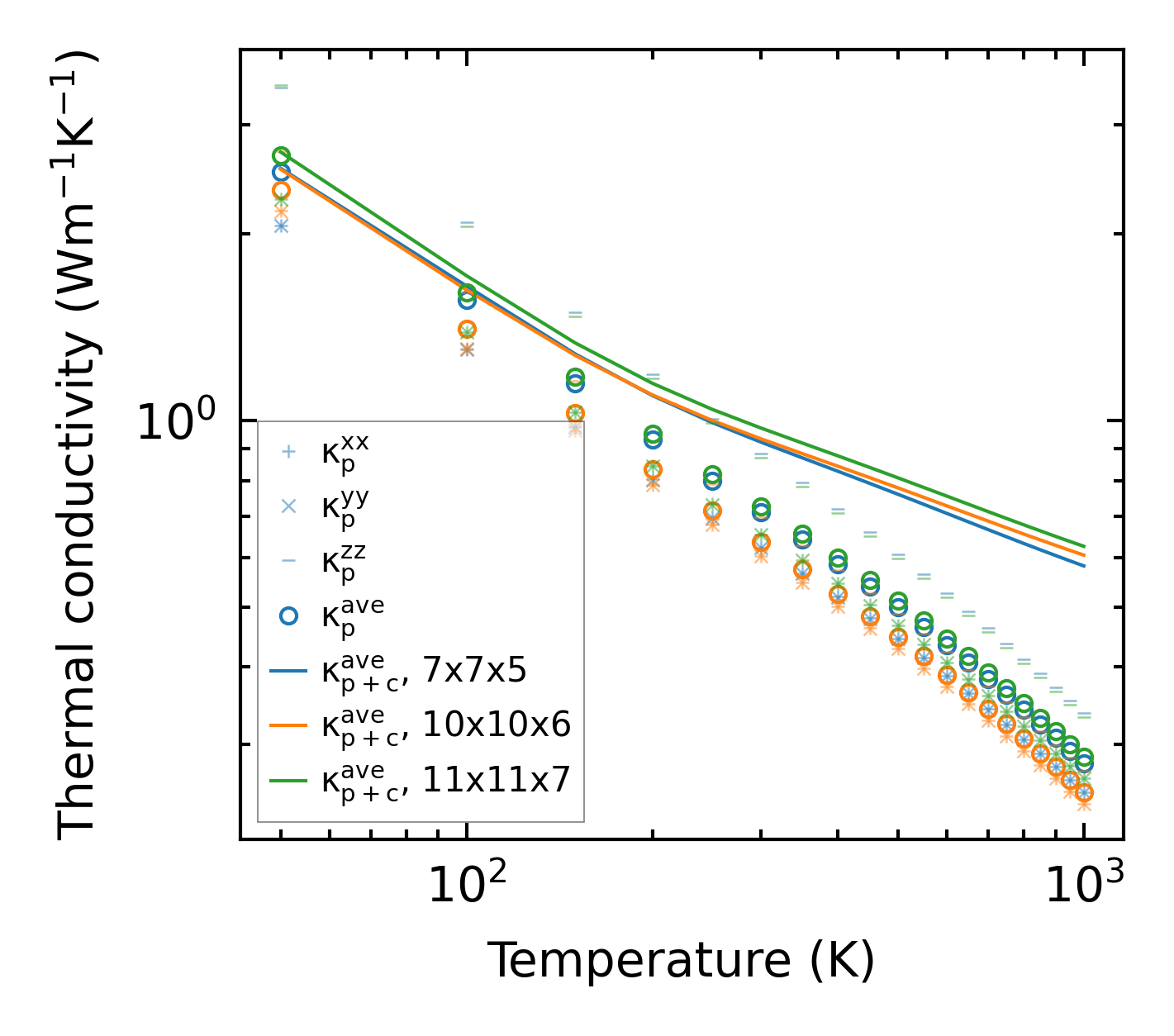
3-phonon (LASSO) — q-mesh: 11x11x7, supercell: 2x2x1

../../_images/fig_kappa11161.png

(a) Temperature-dependent lattice thermal conductivity

../../_images/fig_kappa_vs_grain_size6007.png

(b) Peierls lattice thermal conductivity w.r.t grain size

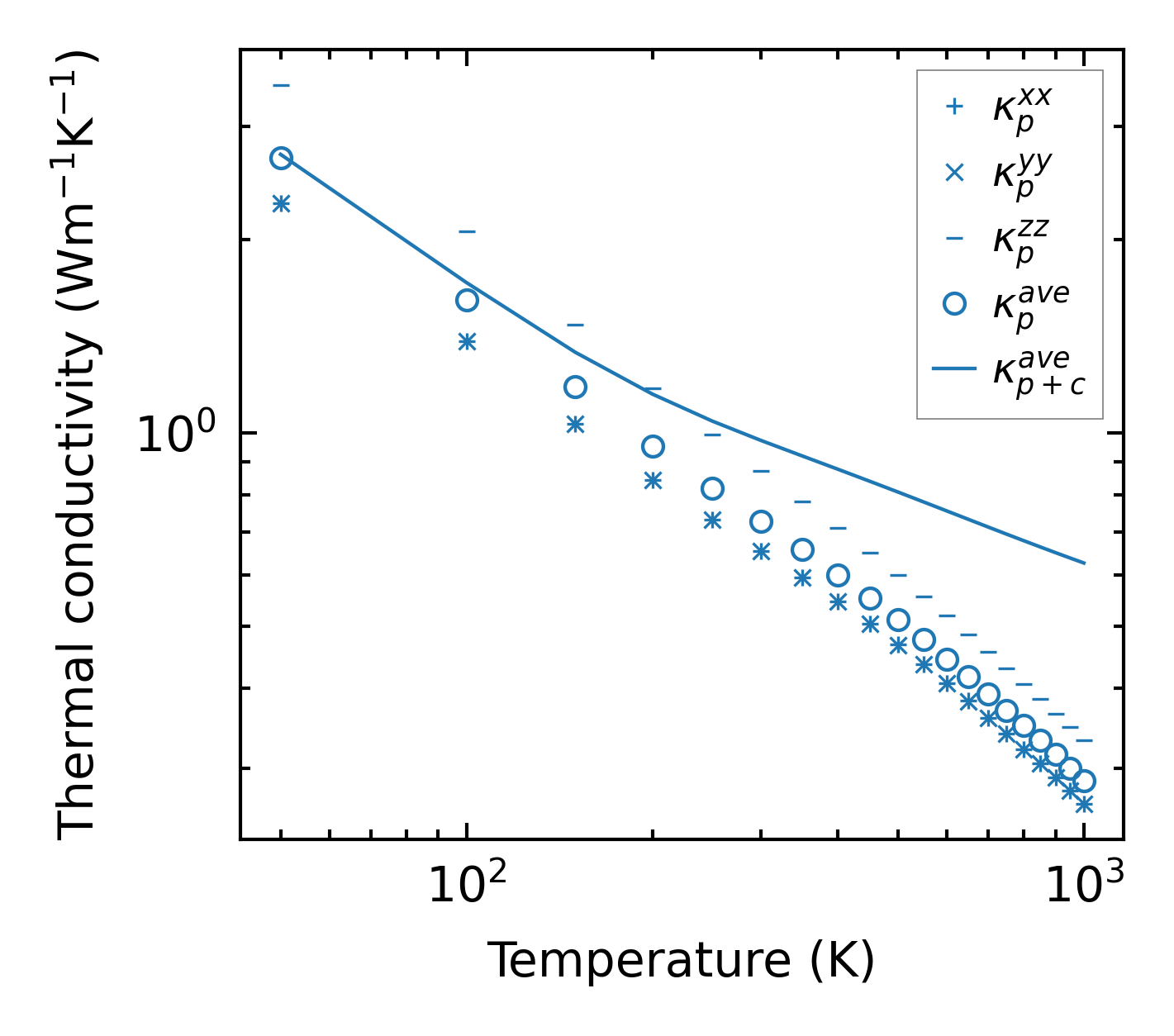
3-phonon (LASSO), supercell 2x2x2 — q-mesh: 11x11x7, supercell: 2x2x2

../../_images/fig_kappa11162.png

(a) Temperature-dependent lattice thermal conductivity

../../_images/fig_kappa_vs_grain_size6008.png

(b) Peierls lattice thermal conductivity w.r.t grain size

Phonon lifetime and scattering rates

../../_images/fig_lifetime5873.png

(a) Phonon lifetime due to phonon-phonon scattering

../../_images/fig_scat_rates5872.png

(b) Phonon scattering rates

Cumulative and spectral thermal conductivity

../../_images/fig_cumu_frequency5873.png

(a) Spectral and cumulative thermal conductivity w.r.t frequency

../../_images/fig_cumu_mfp5872.png

(b) Spectral and cumulative thermal conductivity w.r.t MFP

Force constants

../../_images/fig_fc213626.png

(a) Force constants w.r.t atomic distance

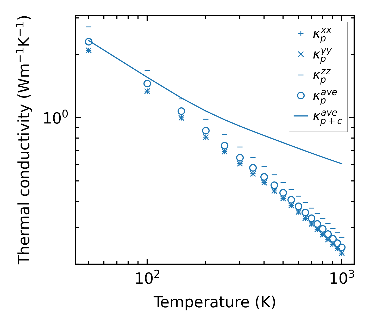
Summary

../../_images/fig_kappa11163.png

(a) Temperature-dependent lattice thermal conductivity

../../_images/fig_times23432.png

(b) Computation time