mp-17450-3/Cs3NiF7/anharm

Equation of state

../../_images/fig_bm6970.png

(a) Equation of state

Harmonic properties

../../_images/fig_bandos_pr13922.png

(a) Phonon dispersion with participation ratio and DOS

../../_images/fig_thermo13922.png

(b) Thermodynamic properties

Grüneisen parameters

../../_images/fig_gru_all5886.png

(a) Grüneisen parameters

../../_images/fig_gruneisen5886.png

(b) Phonon dispersion with Grüneisen parameters

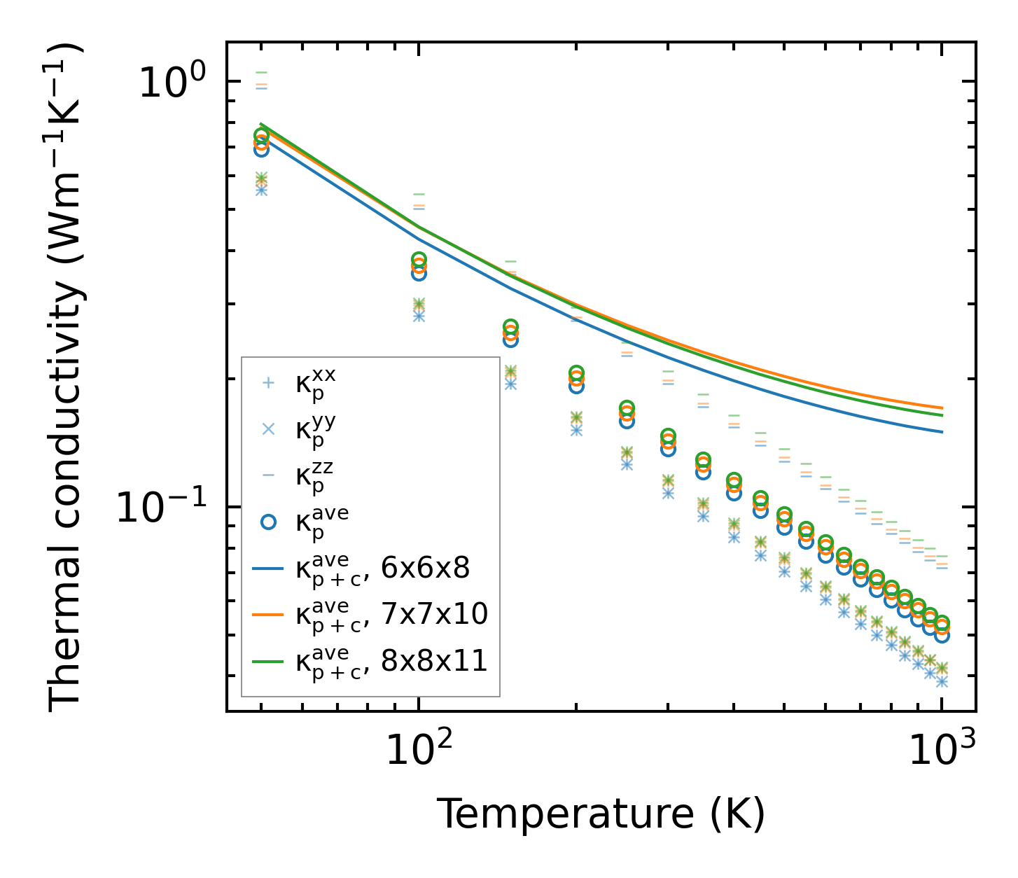
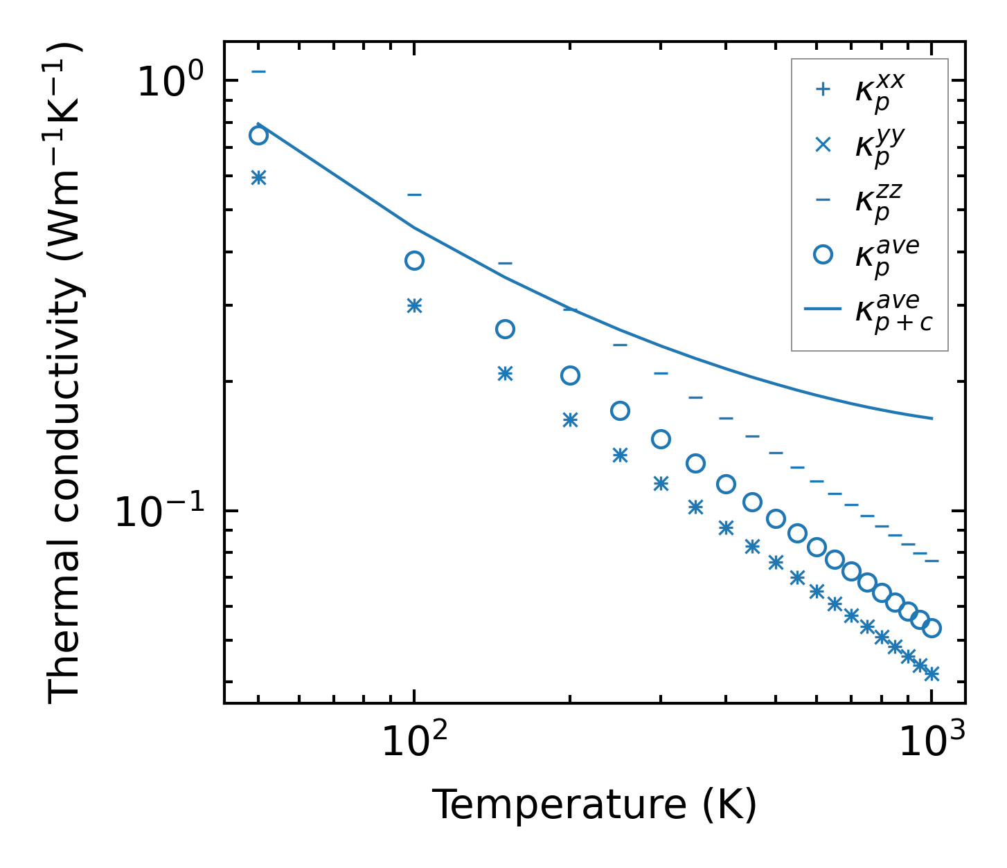
Thermal conductivity

3-phonon (LASSO) — q-mesh: 8x8x11, supercell: 1x1x2

../../_images/fig_kappa11077.png

(a) Temperature-dependent lattice thermal conductivity

../../_images/fig_kappa_vs_grain_size5962.png

(b) Peierls lattice thermal conductivity w.r.t grain size

Phonon lifetime and scattering rates

../../_images/fig_lifetime5829.png

(a) Phonon lifetime due to phonon-phonon scattering

../../_images/fig_scat_rates5828.png

(b) Phonon scattering rates

Cumulative and spectral thermal conductivity

../../_images/fig_cumu_frequency5829.png

(a) Spectral and cumulative thermal conductivity w.r.t frequency

../../_images/fig_cumu_mfp5828.png

(b) Spectral and cumulative thermal conductivity w.r.t MFP

Force constants

../../_images/fig_fc213550.png

(a) Force constants w.r.t atomic distance

Summary

../../_images/fig_kappa11078.png

(a) Temperature-dependent lattice thermal conductivity

../../_images/fig_times23327.png

(b) Computation time