mp-17004/UOF4/harm

Harmonic properties

../../_images/fig_bandos_pr14156.png

(a) Phonon dispersion with participation ratio and DOS

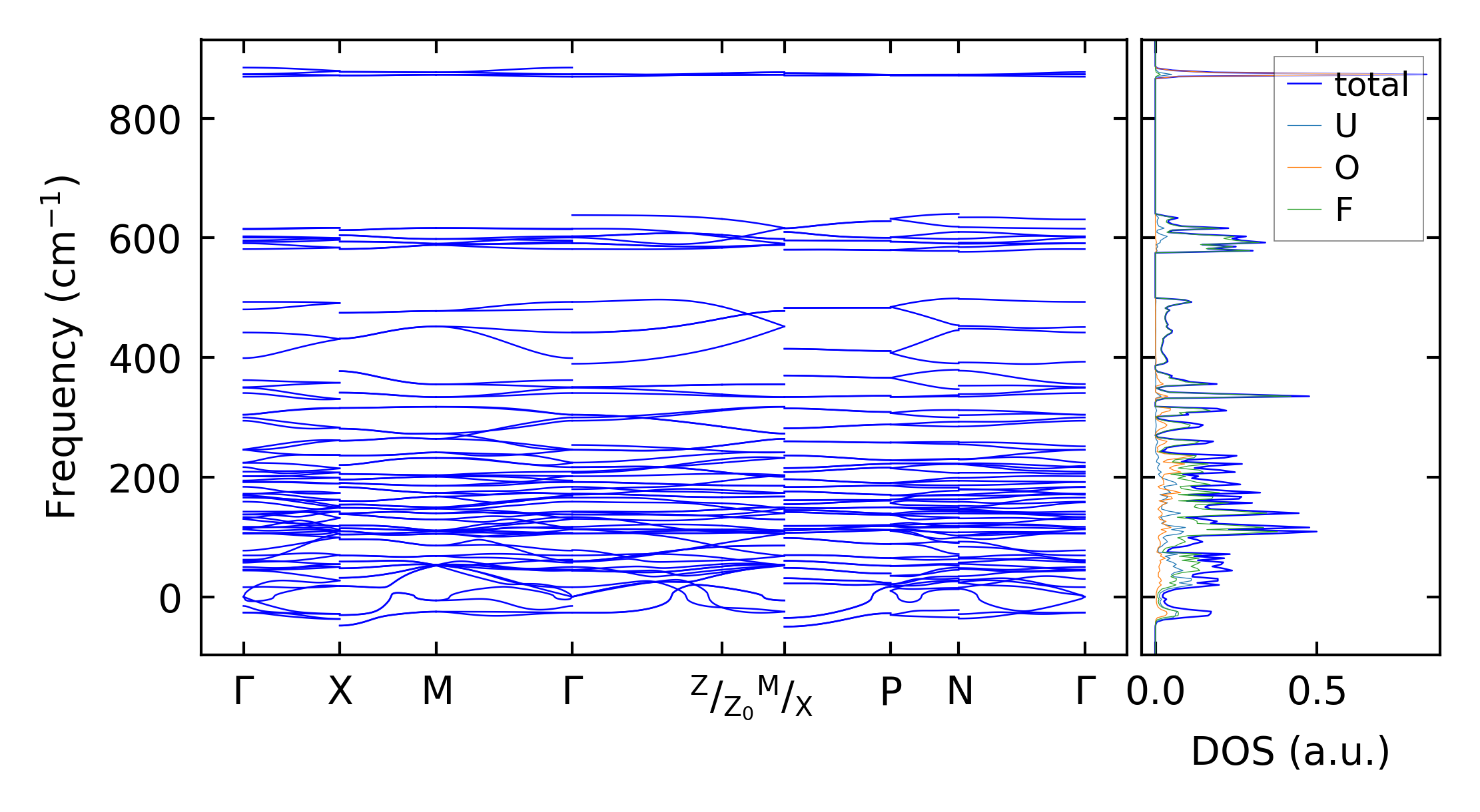
../../_images/fig_bandos18550.png

(b) Phonon dispersion and DOS

../../_images/fig_thermo14156.png

(c) Thermodynamic properties

Force constants

../../_images/fig_fc213784.png

(a) Force constants w.r.t atomic distance

Summary

../../_images/fig_times23668.png

(a) Computation time