mp-17696/Ba2VN3/anharm

Harmonic properties

../../_images/fig_bandos_pr13982.png

(a) Phonon dispersion with participation ratio and DOS

../../_images/fig_thermo13982.png

(b) Thermodynamic properties

Grüneisen parameters

../../_images/fig_gru_all5924.png

(a) Grüneisen parameters

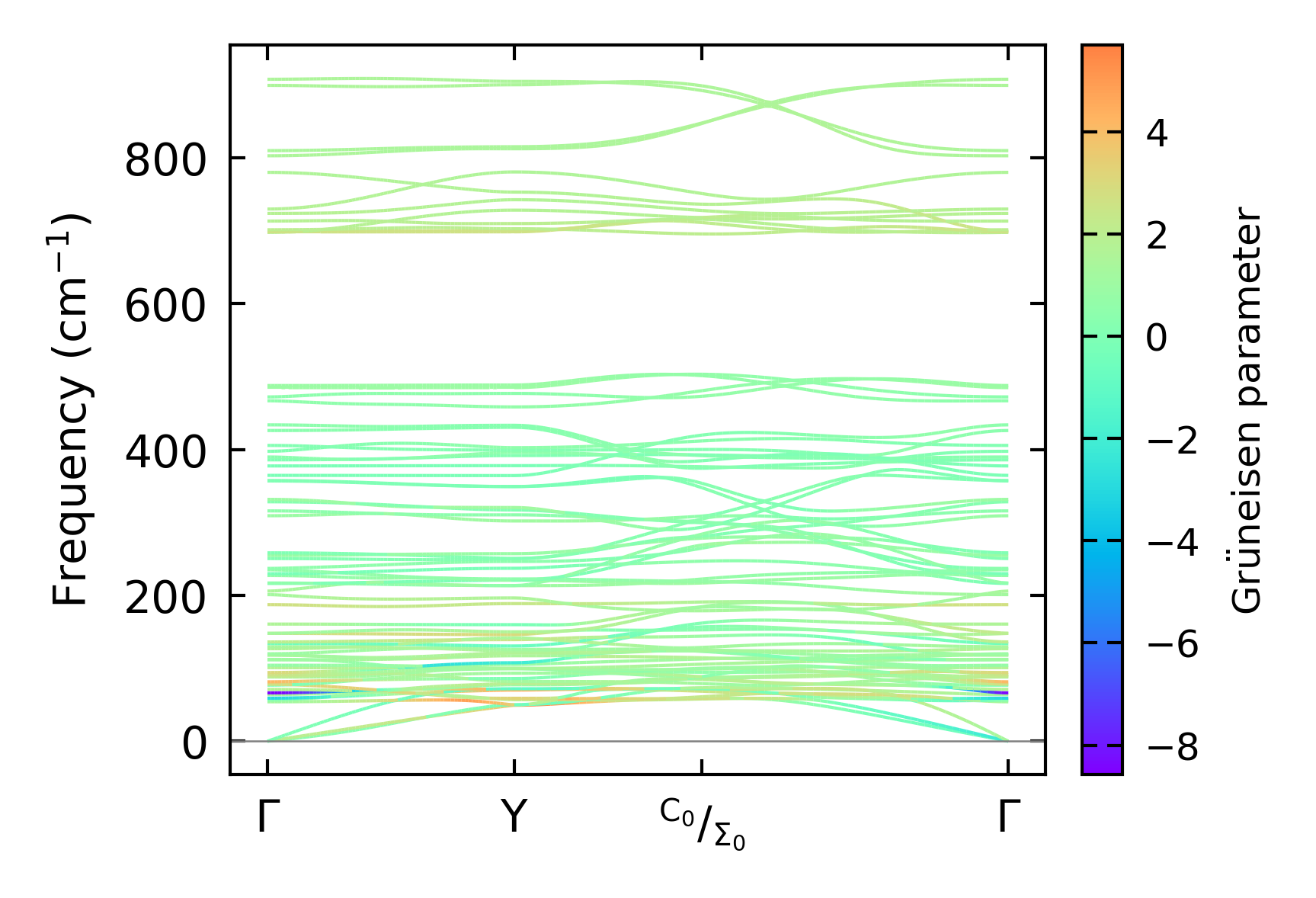
../../_images/fig_gruneisen5924.png

(b) Phonon dispersion with Grüneisen parameters

Thermal conductivity

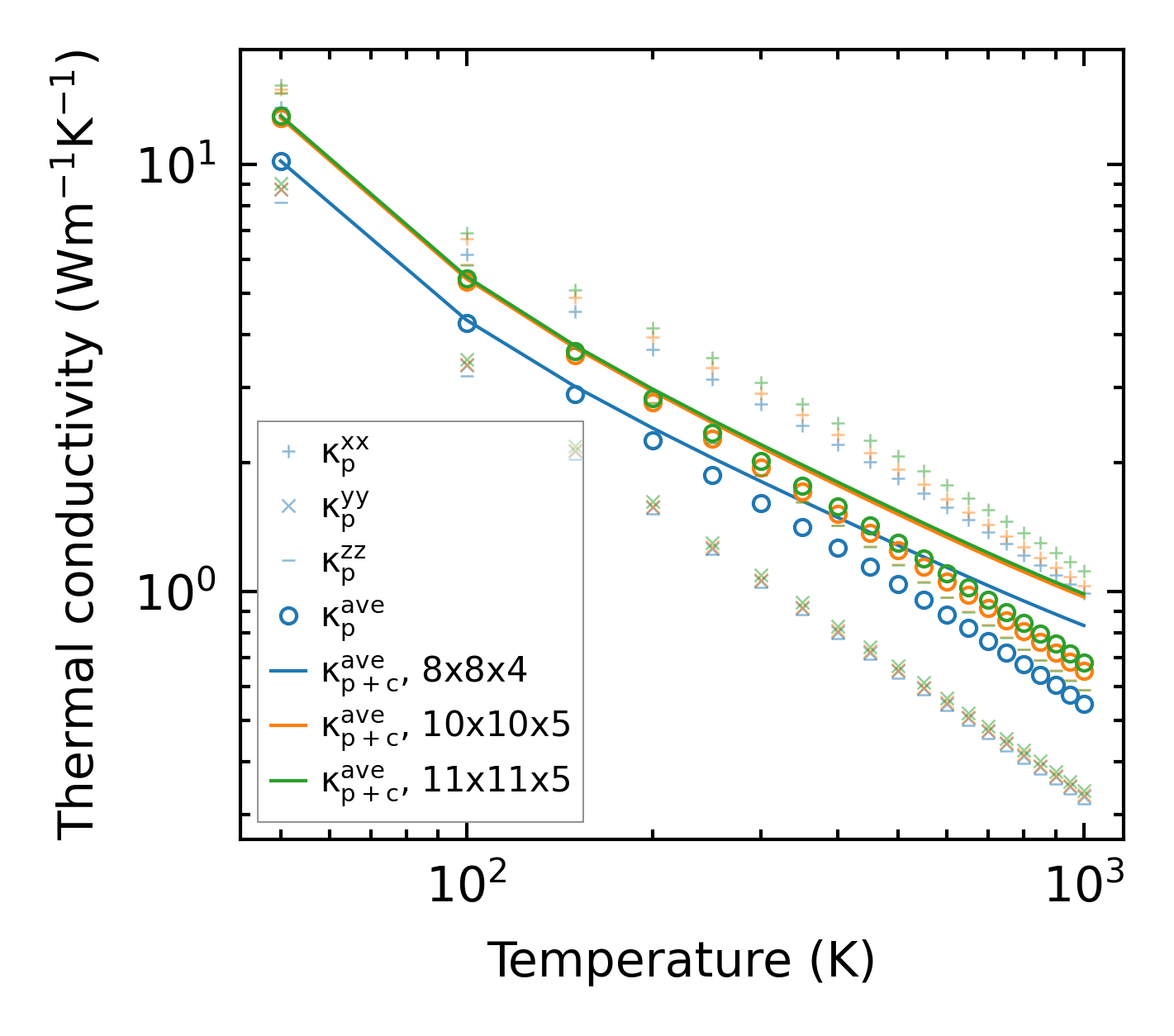
3-phonon (LASSO) — q-mesh: 11x11x5, supercell: 2x1x1

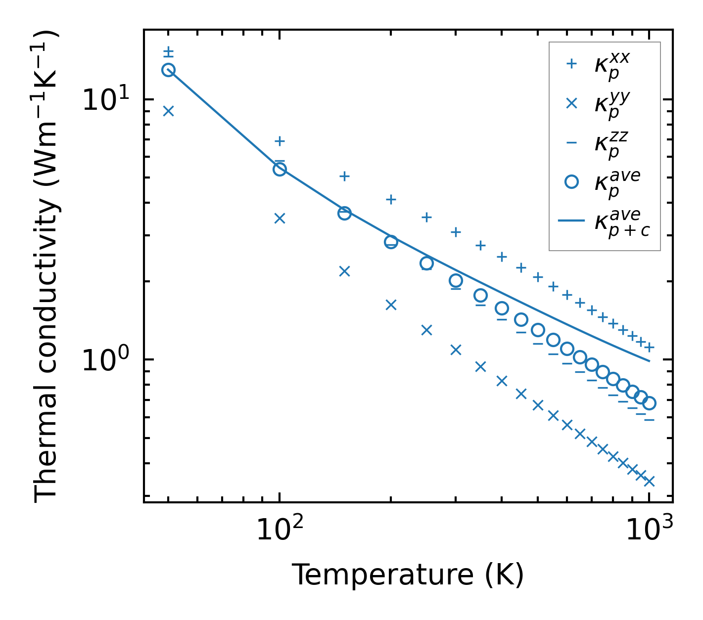
../../_images/fig_kappa11152.png

(a) Temperature-dependent lattice thermal conductivity

../../_images/fig_kappa_vs_grain_size6001.png

(b) Peierls lattice thermal conductivity w.r.t grain size

Phonon lifetime and scattering rates

../../_images/fig_lifetime5867.png

(a) Phonon lifetime due to phonon-phonon scattering

../../_images/fig_scat_rates5866.png

(b) Phonon scattering rates

Cumulative and spectral thermal conductivity

../../_images/fig_cumu_frequency5867.png

(a) Spectral and cumulative thermal conductivity w.r.t frequency

../../_images/fig_cumu_mfp5866.png

(b) Spectral and cumulative thermal conductivity w.r.t MFP

Force constants

../../_images/fig_fc213610.png

(a) Force constants w.r.t atomic distance

Summary

../../_images/fig_kappa11153.png

(a) Temperature-dependent lattice thermal conductivity

../../_images/fig_times23410.png

(b) Computation time