mp-17834-2/La2SiSeO4/anharm

Equation of state

../../_images/fig_bm7027.png

(a) Equation of state

Harmonic properties

../../_images/fig_bandos_pr14034.png

(a) Phonon dispersion with participation ratio and DOS

../../_images/fig_thermo14034.png

(b) Thermodynamic properties

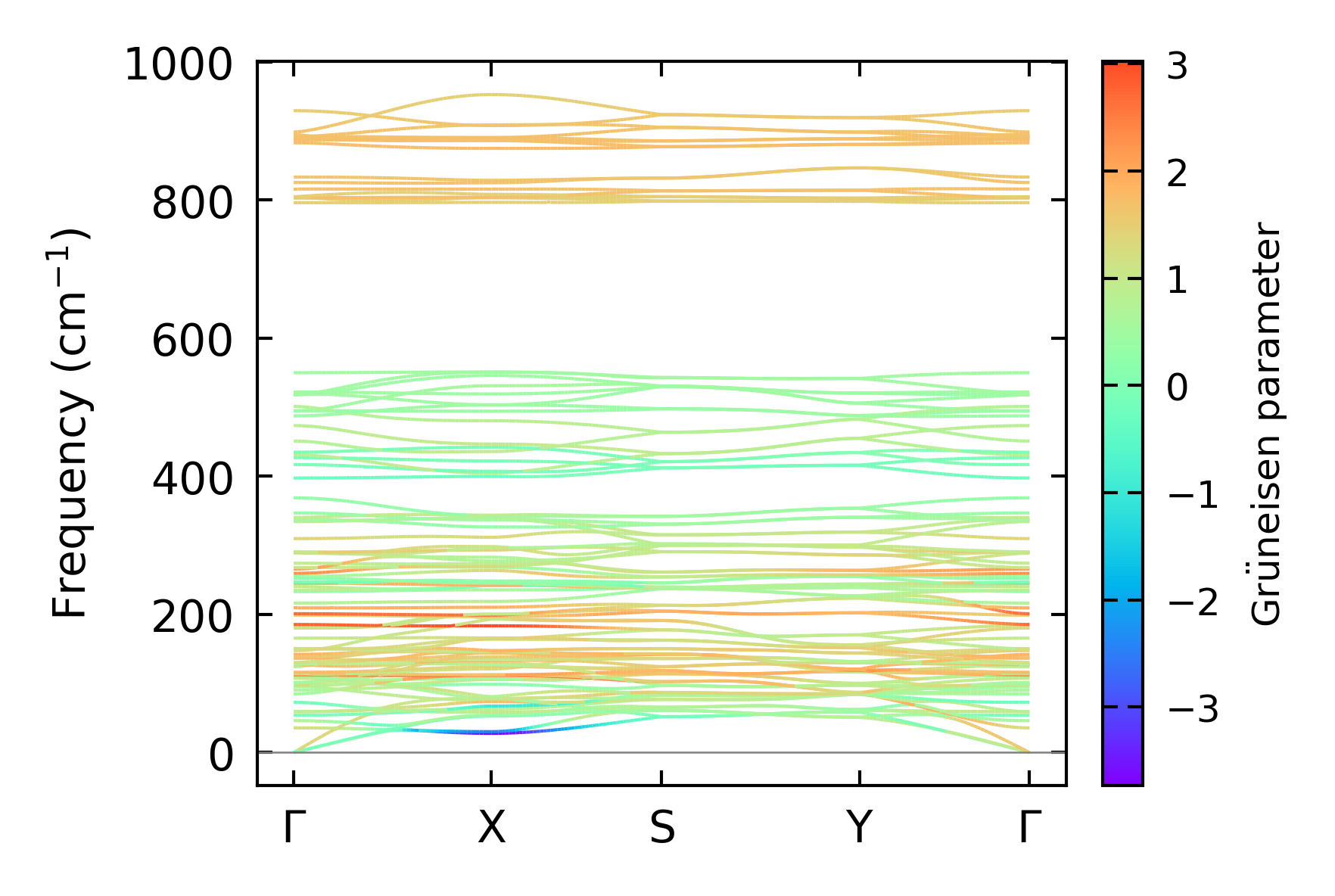
Grüneisen parameters

../../_images/fig_gru_all5952.png

(a) Grüneisen parameters

../../_images/fig_gruneisen5952.png

(b) Phonon dispersion with Grüneisen parameters

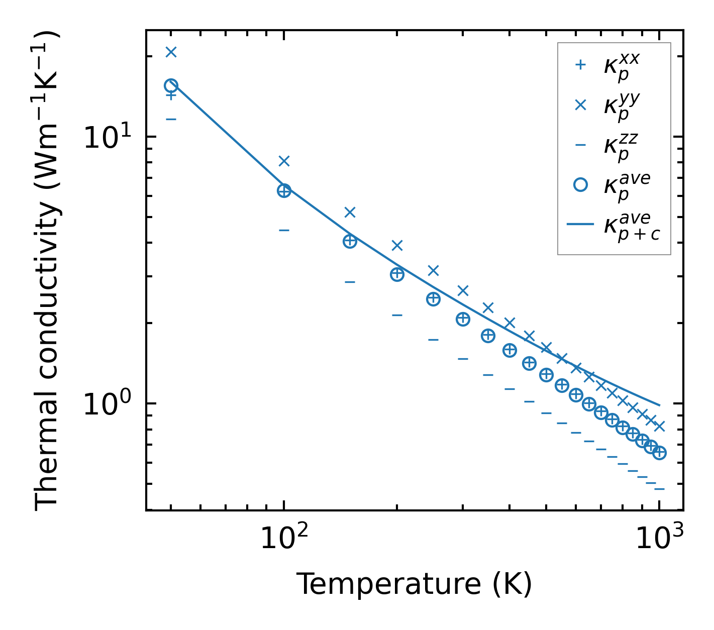
Thermal conductivity

3-phonon (LASSO) — q-mesh: 11x9x6, supercell: 2x2x1

../../_images/fig_kappa11204.png

(a) Temperature-dependent lattice thermal conductivity

../../_images/fig_kappa_vs_grain_size6030.png

(b) Peierls lattice thermal conductivity w.r.t grain size

Phonon lifetime and scattering rates

../../_images/fig_lifetime5895.png

(a) Phonon lifetime due to phonon-phonon scattering

../../_images/fig_scat_rates5894.png

(b) Phonon scattering rates

Cumulative and spectral thermal conductivity

../../_images/fig_cumu_frequency5895.png

(a) Spectral and cumulative thermal conductivity w.r.t frequency

../../_images/fig_cumu_mfp5894.png

(b) Spectral and cumulative thermal conductivity w.r.t MFP

Force constants

../../_images/fig_fc213662.png

(a) Force constants w.r.t atomic distance

Summary

../../_images/fig_kappa11205.png

(a) Temperature-dependent lattice thermal conductivity

../../_images/fig_times23485.png

(b) Computation time