mp-17410-2/CsEr3Se5/anharm

Equation of state

../../_images/fig_bm7150.png

(a) Equation of state

Harmonic properties

../../_images/fig_bandos_pr14275.png

(a) Phonon dispersion with participation ratio and DOS

../../_images/fig_thermo14275.png

(b) Thermodynamic properties

Grüneisen parameters

../../_images/fig_gru_all6078.png

(a) Grüneisen parameters

../../_images/fig_gruneisen6078.png

(b) Phonon dispersion with Grüneisen parameters

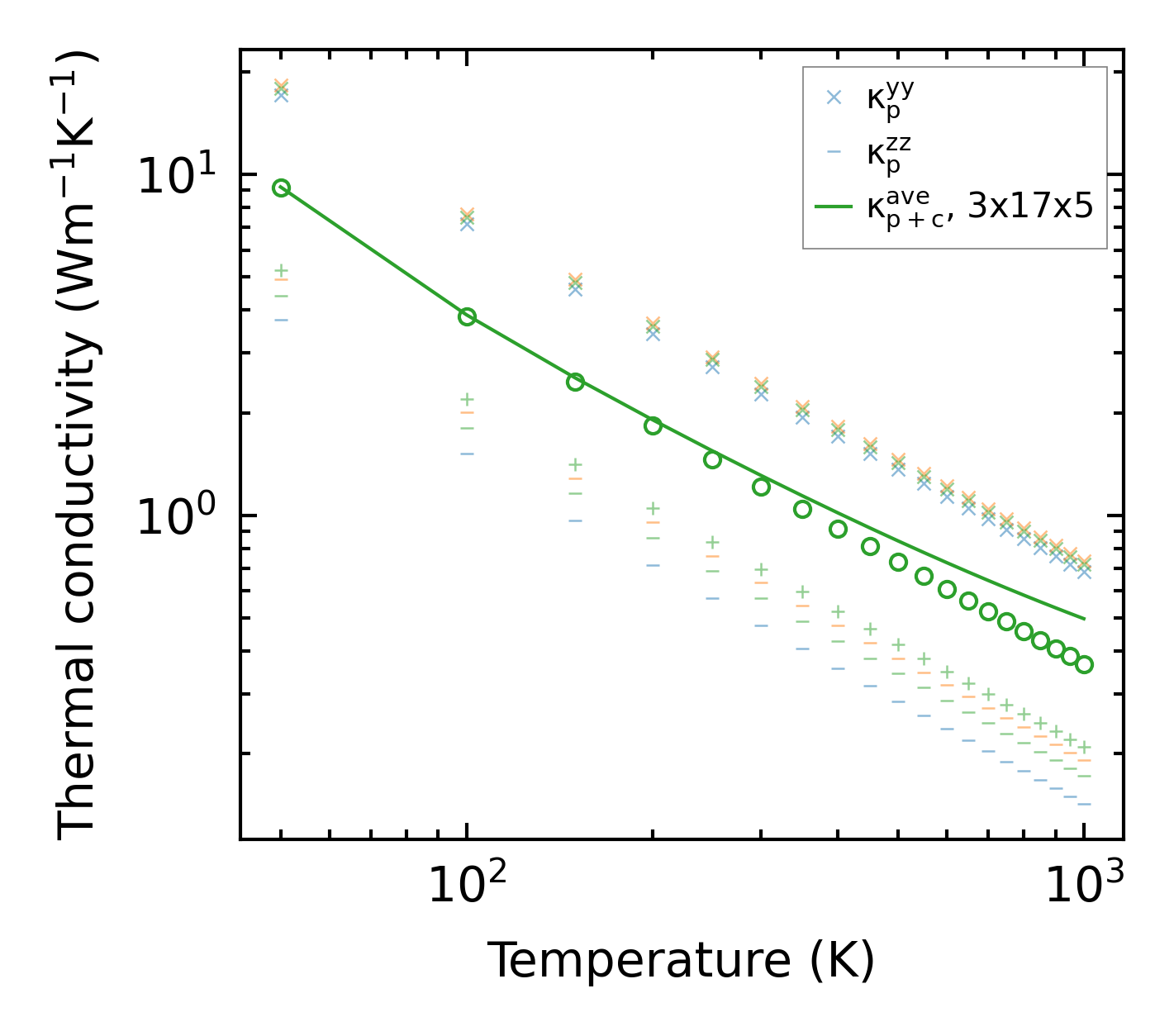
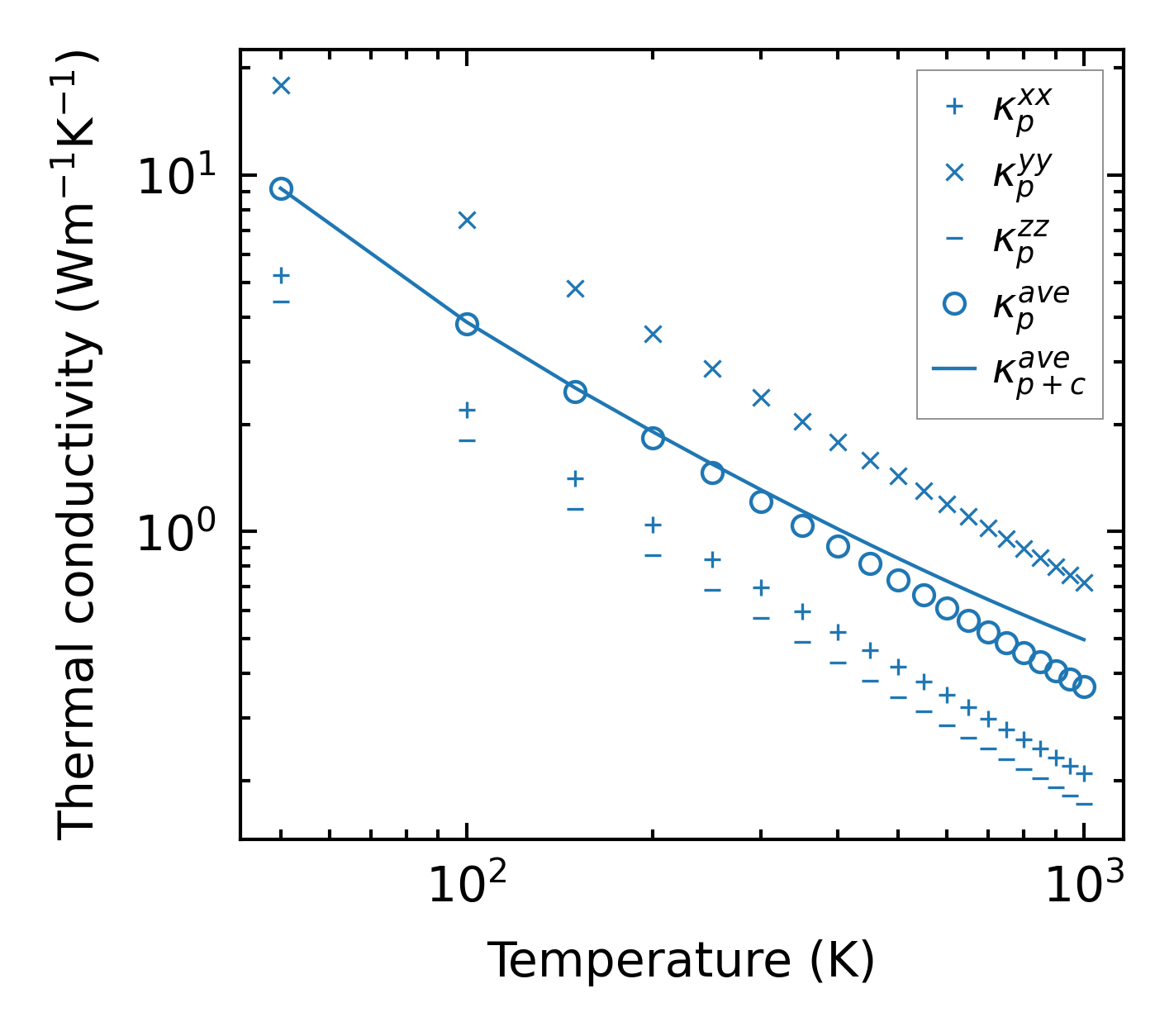
Thermal conductivity

3-phonon (LASSO) — q-mesh: 3x17x5, supercell: 1x4x1

../../_images/fig_kappa11435.png

(a) Temperature-dependent lattice thermal conductivity

../../_images/fig_kappa_vs_grain_size6156.png

(b) Peierls lattice thermal conductivity w.r.t grain size

Phonon lifetime and scattering rates

../../_images/fig_lifetime6017.png

(a) Phonon lifetime due to phonon-phonon scattering

../../_images/fig_scat_rates6016.png

(b) Phonon scattering rates

Cumulative and spectral thermal conductivity

../../_images/fig_cumu_frequency6017.png

(a) Spectral and cumulative thermal conductivity w.r.t frequency

../../_images/fig_cumu_mfp6016.png

(b) Spectral and cumulative thermal conductivity w.r.t MFP

Force constants

../../_images/fig_fc213903.png

(a) Force constants w.r.t atomic distance

Summary

../../_images/fig_kappa11436.png

(a) Temperature-dependent lattice thermal conductivity

../../_images/fig_times23843.png

(b) Computation time