mp-17862/Ag3Ge5P6/anharm

Harmonic properties

../../_images/fig_bandos_pr14047.png

(a) Phonon dispersion with participation ratio and DOS

../../_images/fig_thermo14047.png

(b) Thermodynamic properties

Grüneisen parameters

../../_images/fig_gru_all5959.png

(a) Grüneisen parameters

../../_images/fig_gruneisen5959.png

(b) Phonon dispersion with Grüneisen parameters

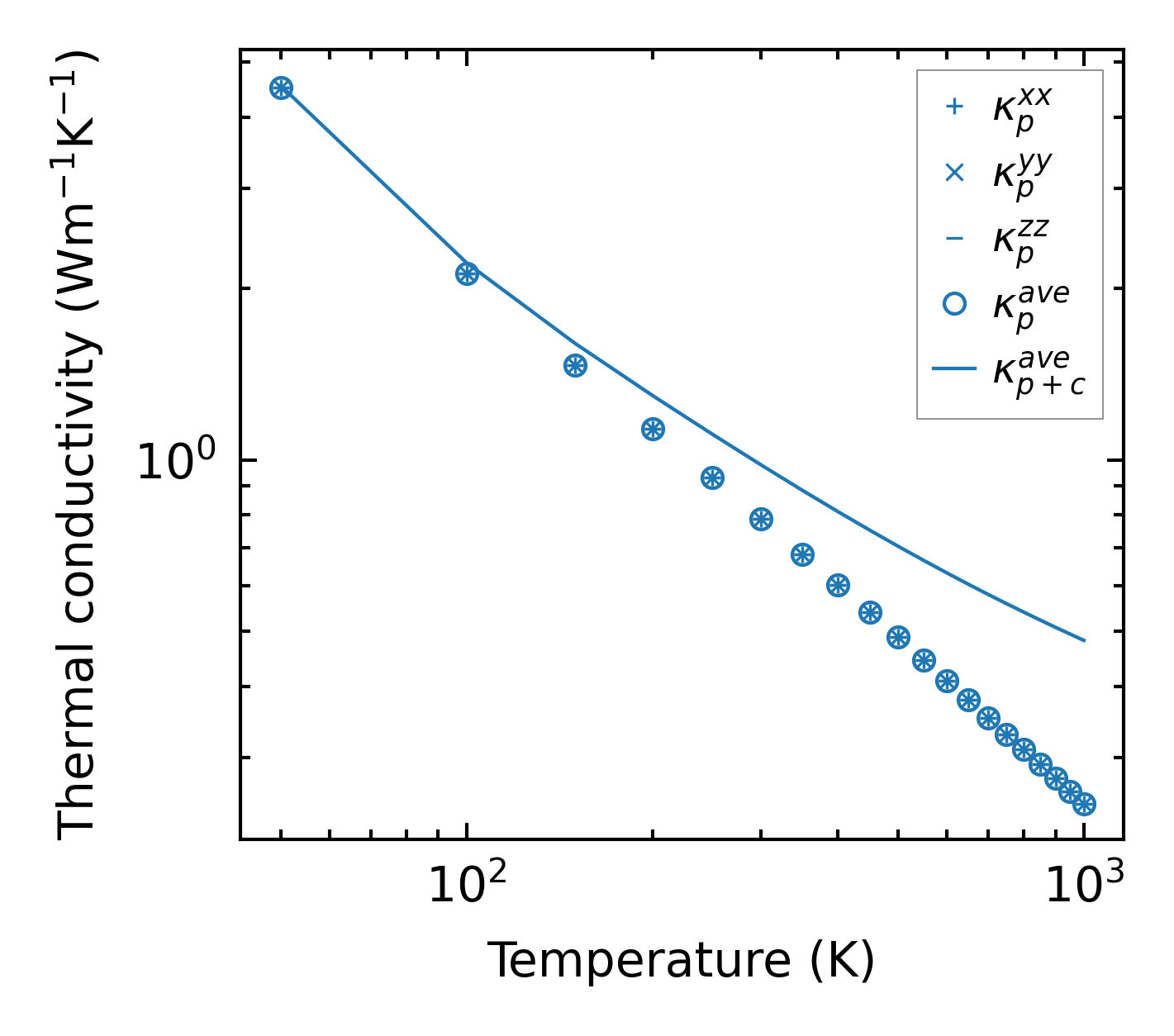
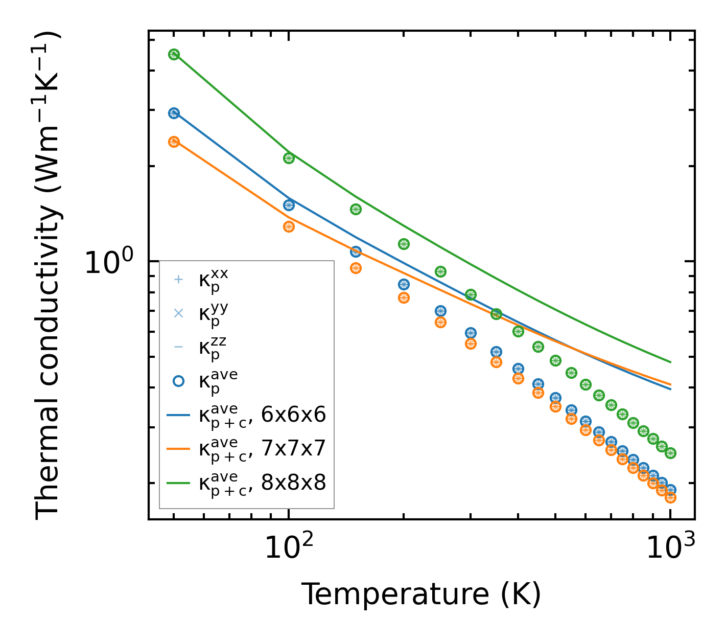
Thermal conductivity

3-phonon (LASSO) — q-mesh: 8x8x8, supercell: 1x1x1

../../_images/fig_kappa11218.png

(a) Temperature-dependent lattice thermal conductivity

../../_images/fig_kappa_vs_grain_size6037.png

(b) Peierls lattice thermal conductivity w.r.t grain size

Phonon lifetime and scattering rates

../../_images/fig_lifetime5902.png

(a) Phonon lifetime due to phonon-phonon scattering

../../_images/fig_scat_rates5901.png

(b) Phonon scattering rates

Cumulative and spectral thermal conductivity

../../_images/fig_cumu_frequency5902.png

(a) Spectral and cumulative thermal conductivity w.r.t frequency

../../_images/fig_cumu_mfp5901.png

(b) Spectral and cumulative thermal conductivity w.r.t MFP

Force constants

../../_images/fig_fc213675.png

(a) Force constants w.r.t atomic distance

Summary

../../_images/fig_kappa11219.png

(a) Temperature-dependent lattice thermal conductivity

../../_images/fig_times23503.png

(b) Computation time