mp-17256-2/Rb2Hf3OF12/harm

Equation of state

../../_images/fig_bm7129.png

(a) Equation of state

Harmonic properties

../../_images/fig_bandos_pr14231.png

(a) Phonon dispersion with participation ratio and DOS

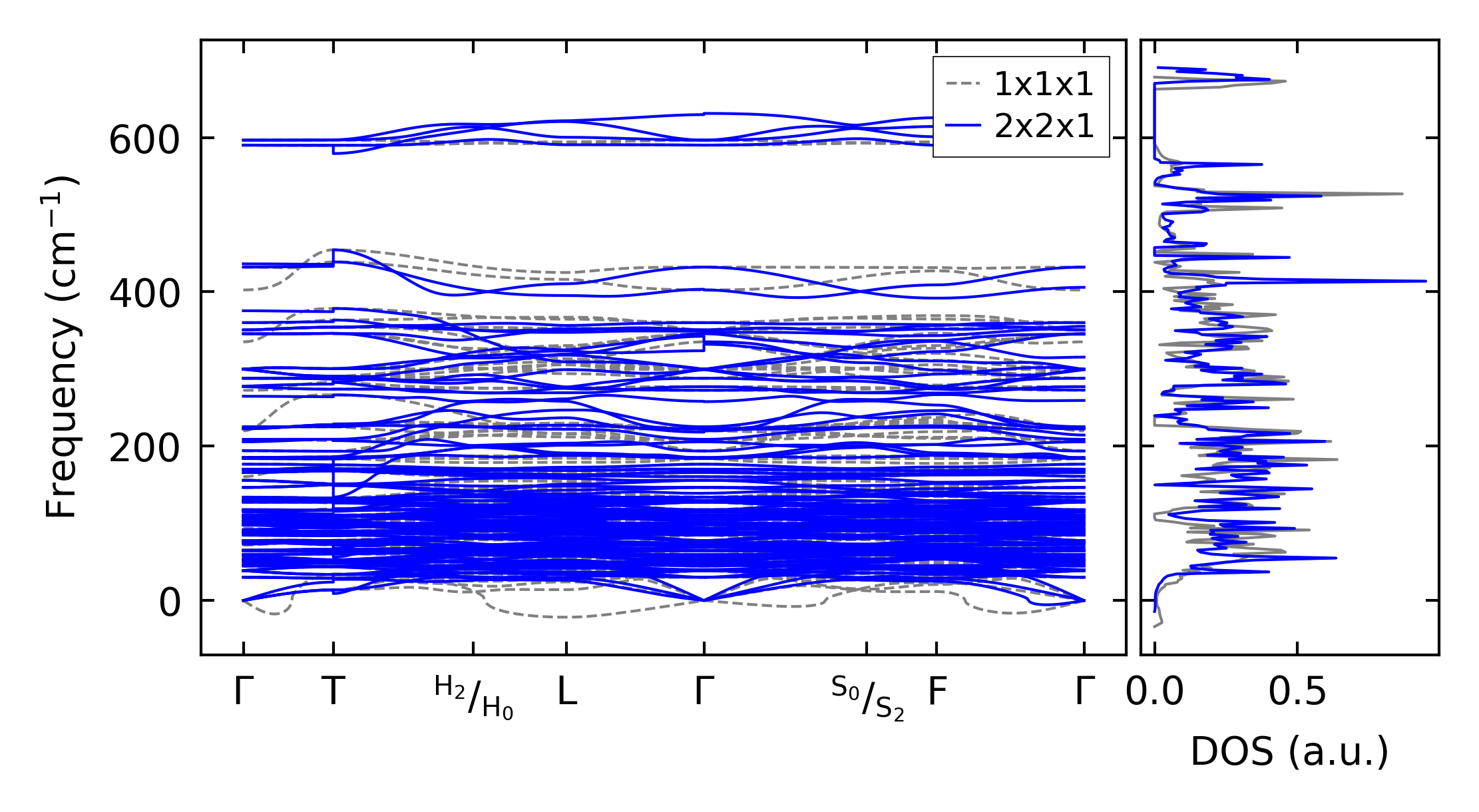
../../_images/fig_bandos18631.png

(b) Phonon dispersion and DOS

../../_images/fig_thermo14231.png

(c) Thermodynamic properties

Force constants

../../_images/fig_fc213859.png

(a) Force constants w.r.t atomic distance

Summary

../../_images/fig_times23783.png

(a) Computation time