mp-17229/RbBe3ZnF9/anharm

Harmonic properties

../../_images/fig_bandos_pr14219.png

(a) Phonon dispersion with participation ratio and DOS

../../_images/fig_thermo14219.png

(b) Thermodynamic properties

Grüneisen parameters

../../_images/fig_gru_all6049.png

(a) Grüneisen parameters

../../_images/fig_gruneisen6049.png

(b) Phonon dispersion with Grüneisen parameters

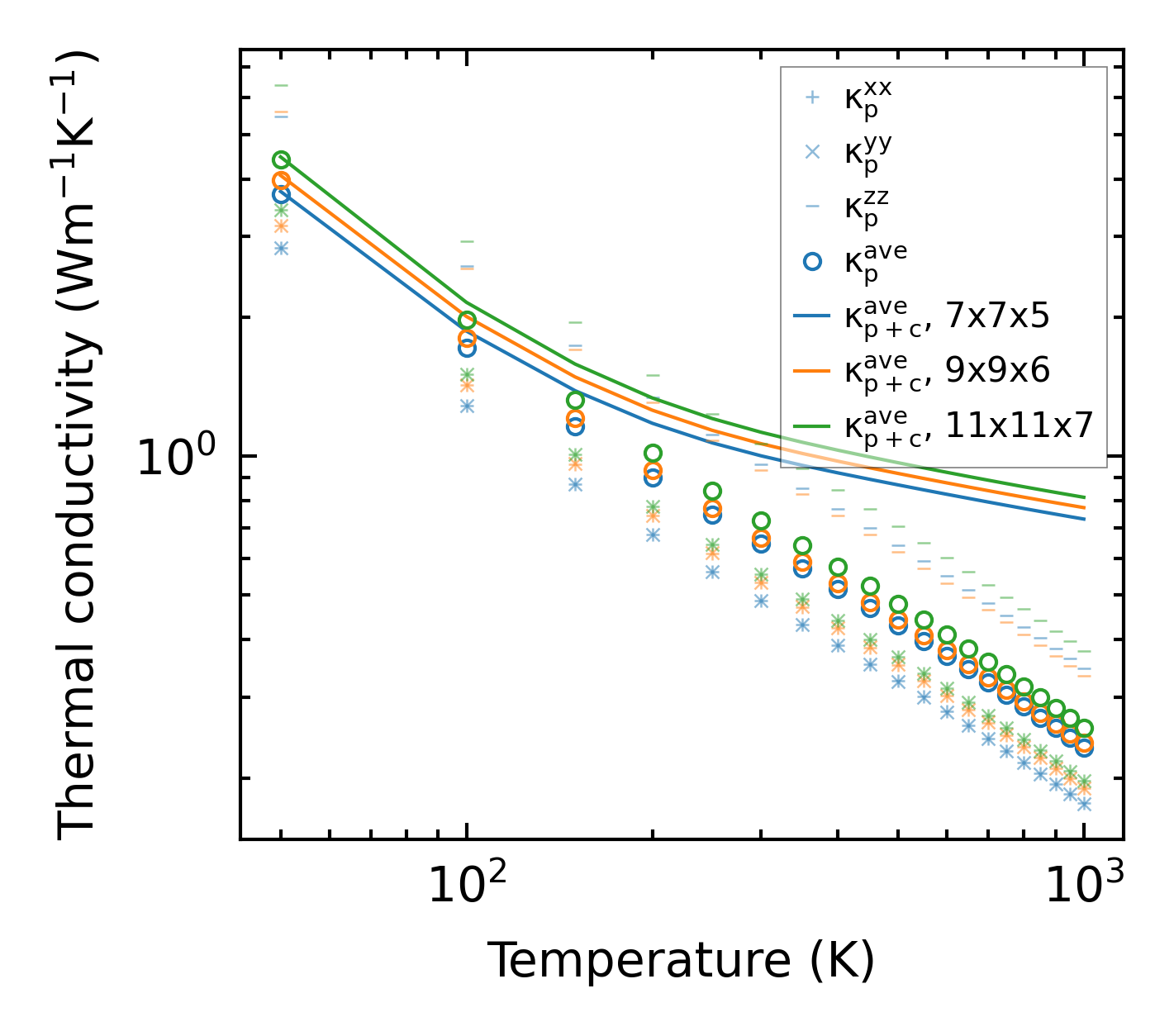
Thermal conductivity

3-phonon (LASSO) — q-mesh: 11x11x7, supercell: 2x2x1

../../_images/fig_kappa11384.png

(a) Temperature-dependent lattice thermal conductivity

../../_images/fig_kappa_vs_grain_size6127.png

(b) Peierls lattice thermal conductivity w.r.t grain size

Phonon lifetime and scattering rates

../../_images/fig_lifetime5988.png

(a) Phonon lifetime due to phonon-phonon scattering

../../_images/fig_scat_rates5987.png

(b) Phonon scattering rates

Cumulative and spectral thermal conductivity

../../_images/fig_cumu_frequency5988.png

(a) Spectral and cumulative thermal conductivity w.r.t frequency

../../_images/fig_cumu_mfp5987.png

(b) Spectral and cumulative thermal conductivity w.r.t MFP

Force constants

../../_images/fig_fc213847.png

(a) Force constants w.r.t atomic distance

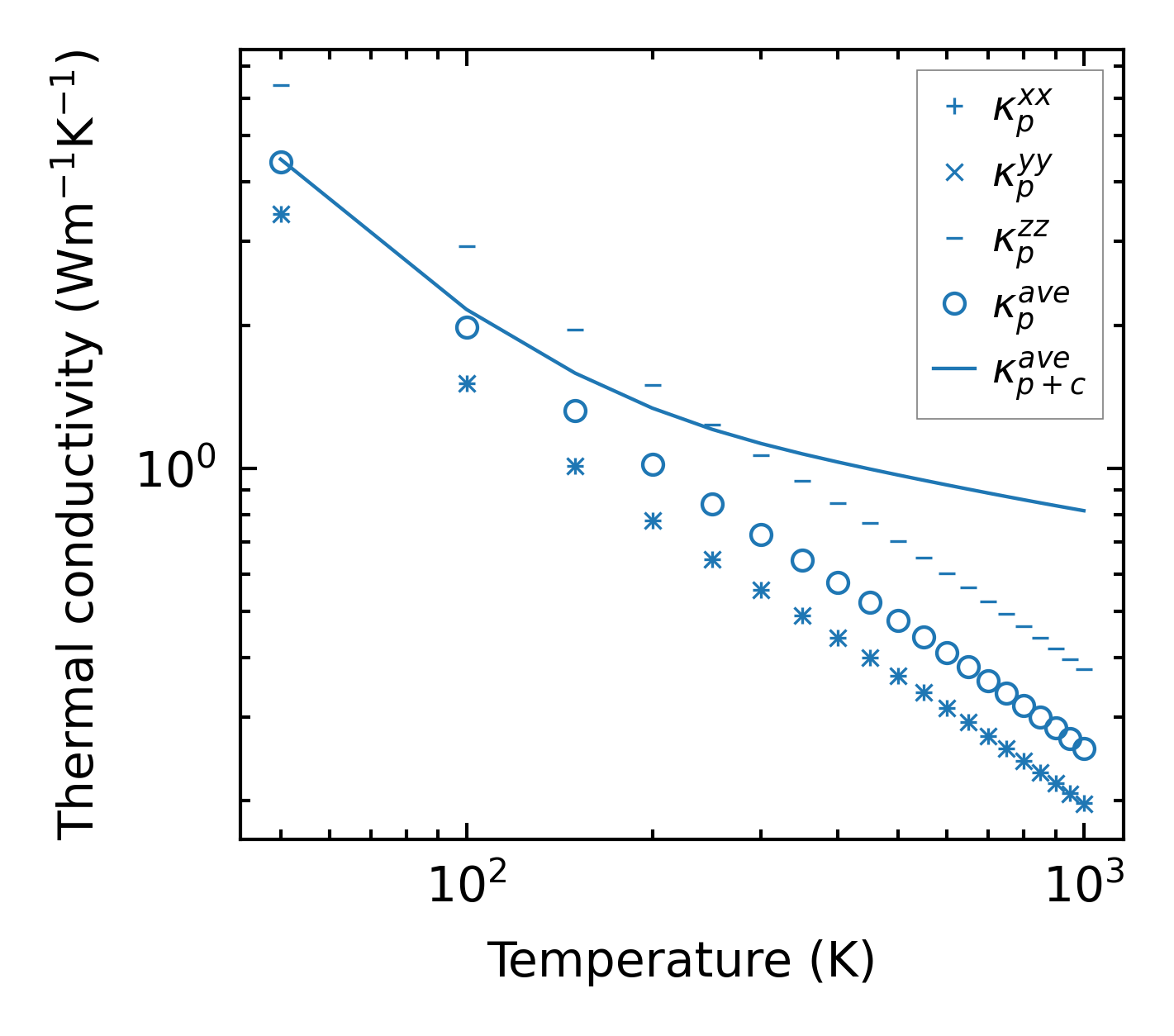
Summary

../../_images/fig_kappa11385.png

(a) Temperature-dependent lattice thermal conductivity

../../_images/fig_times23769.png

(b) Computation time