mp-17404/Y2Si2O7/anharm

Harmonic properties

../../_images/fig_bandos_pr14273.png

(a) Phonon dispersion with participation ratio and DOS

../../_images/fig_thermo14273.png

(b) Thermodynamic properties

Grüneisen parameters

../../_images/fig_gru_all6076.png

(a) Grüneisen parameters

../../_images/fig_gruneisen6076.png

(b) Phonon dispersion with Grüneisen parameters

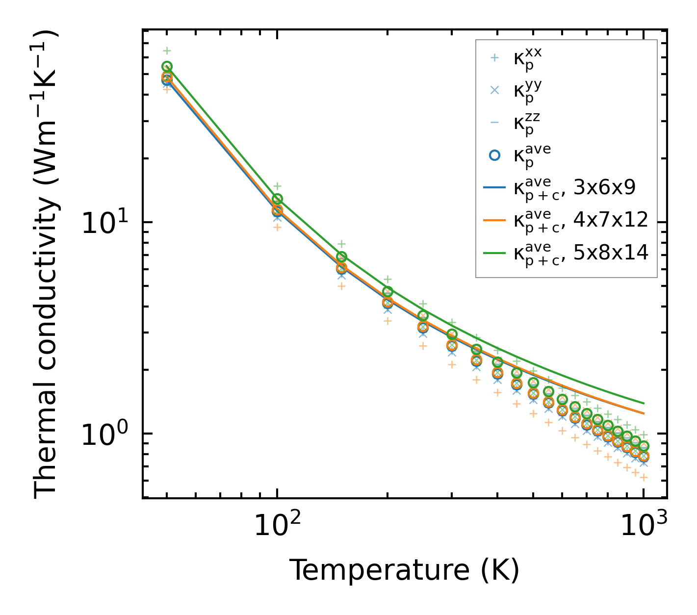
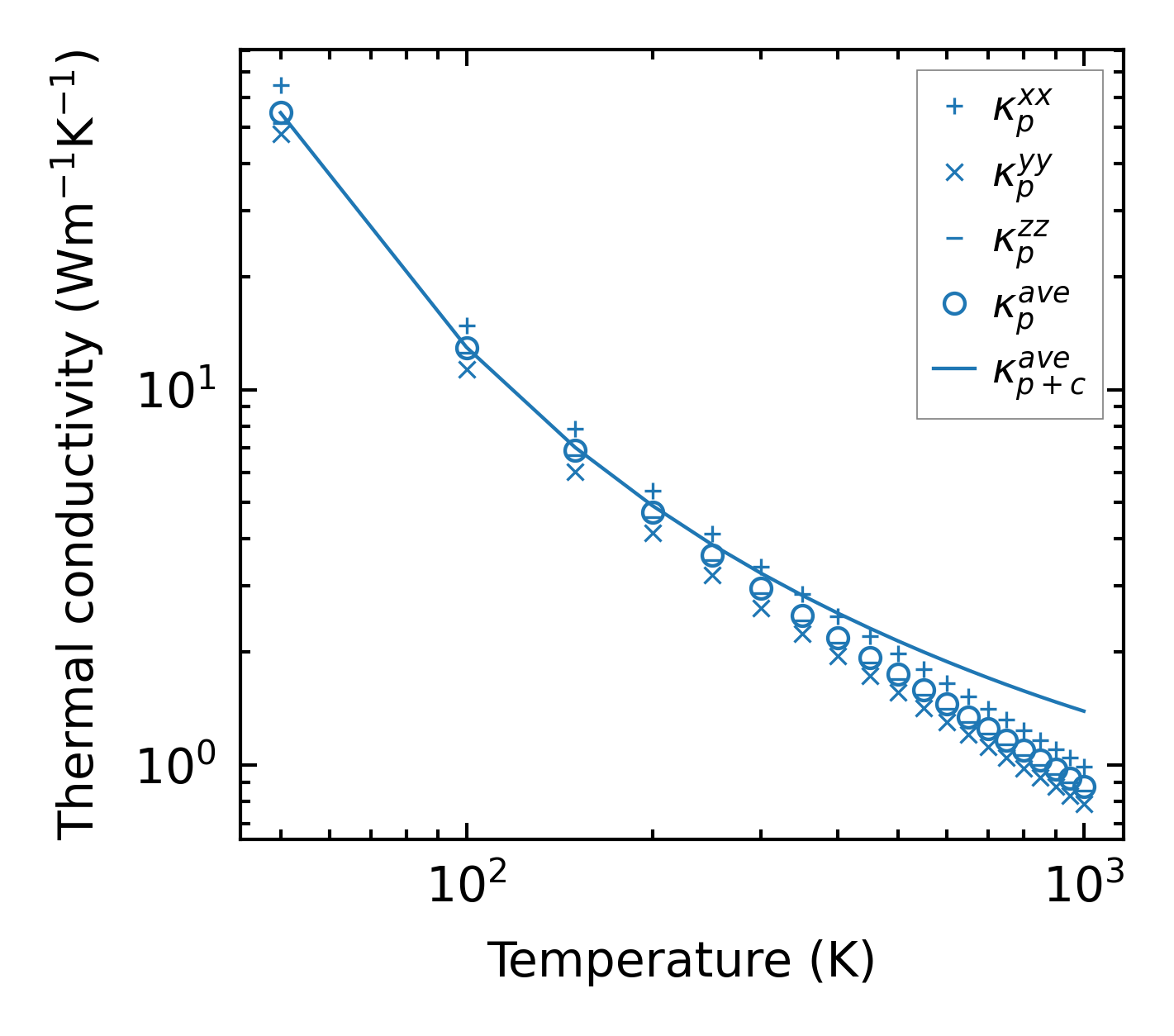
Thermal conductivity

3-phonon (LASSO) — q-mesh: 5x8x14, supercell: 1x1x2

../../_images/fig_kappa11431.png

(a) Temperature-dependent lattice thermal conductivity

../../_images/fig_kappa_vs_grain_size6154.png

(b) Peierls lattice thermal conductivity w.r.t grain size

Phonon lifetime and scattering rates

../../_images/fig_lifetime6015.png

(a) Phonon lifetime due to phonon-phonon scattering

../../_images/fig_scat_rates6014.png

(b) Phonon scattering rates

Cumulative and spectral thermal conductivity

../../_images/fig_cumu_frequency6015.png

(a) Spectral and cumulative thermal conductivity w.r.t frequency

../../_images/fig_cumu_mfp6014.png

(b) Spectral and cumulative thermal conductivity w.r.t MFP

Force constants

../../_images/fig_fc213901.png

(a) Force constants w.r.t atomic distance

Summary

../../_images/fig_kappa11432.png

(a) Temperature-dependent lattice thermal conductivity

../../_images/fig_times23841.png

(b) Computation time