mp-19000-2/VPO5/anharm

Equation of state

../../_images/fig_bm6825.png

(a) Equation of state

Harmonic properties

../../_images/fig_bandos_pr13663.png

(a) Phonon dispersion with participation ratio and DOS

../../_images/fig_bandos18036.png

(b) Phonon dispersion and DOS

../../_images/fig_thermo13663.png

(c) Thermodynamic properties

Grüneisen parameters

../../_images/fig_gru_all5768.png

(a) Grüneisen parameters

../../_images/fig_gruneisen5768.png

(b) Phonon dispersion with Grüneisen parameters

Thermal conductivity

3-phonon (LASSO), supercell 2x2x3 — q-mesh: 11x11x16, supercell: 2x2x3

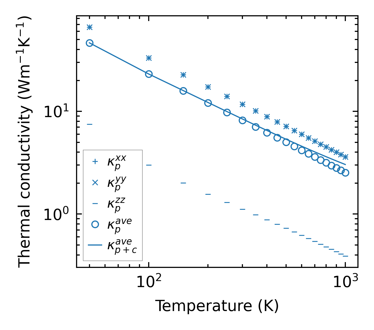
../../_images/fig_kappa10848.png

(a) Temperature-dependent lattice thermal conductivity

../../_images/fig_kappa_vs_grain_size5839.png

(b) Peierls lattice thermal conductivity w.r.t grain size

Phonon lifetime and scattering rates

../../_images/fig_lifetime5713.png

(a) Phonon lifetime due to phonon-phonon scattering

../../_images/fig_scat_rates5712.png

(b) Phonon scattering rates

Cumulative and spectral thermal conductivity

../../_images/fig_cumu_frequency5713.png

(a) Spectral and cumulative thermal conductivity w.r.t frequency

../../_images/fig_cumu_mfp5712.png

(b) Spectral and cumulative thermal conductivity w.r.t MFP

Force constants

../../_images/fig_fc213291.png

(a) Force constants w.r.t atomic distance

Summary

../../_images/fig_times22944.png

(a) Computation time