mp-18660/SrSc2Te4/anharm

Harmonic properties

../../_images/fig_bandos_pr13578.png

(a) Phonon dispersion with participation ratio and DOS

../../_images/fig_thermo13578.png

(b) Thermodynamic properties

Grüneisen parameters

../../_images/fig_gru_all5747.png

(a) Grüneisen parameters

../../_images/fig_gruneisen5747.png

(b) Phonon dispersion with Grüneisen parameters

Thermal conductivity

3-phonon (LASSO) — q-mesh: 5x17x4, supercell: 1x4x1

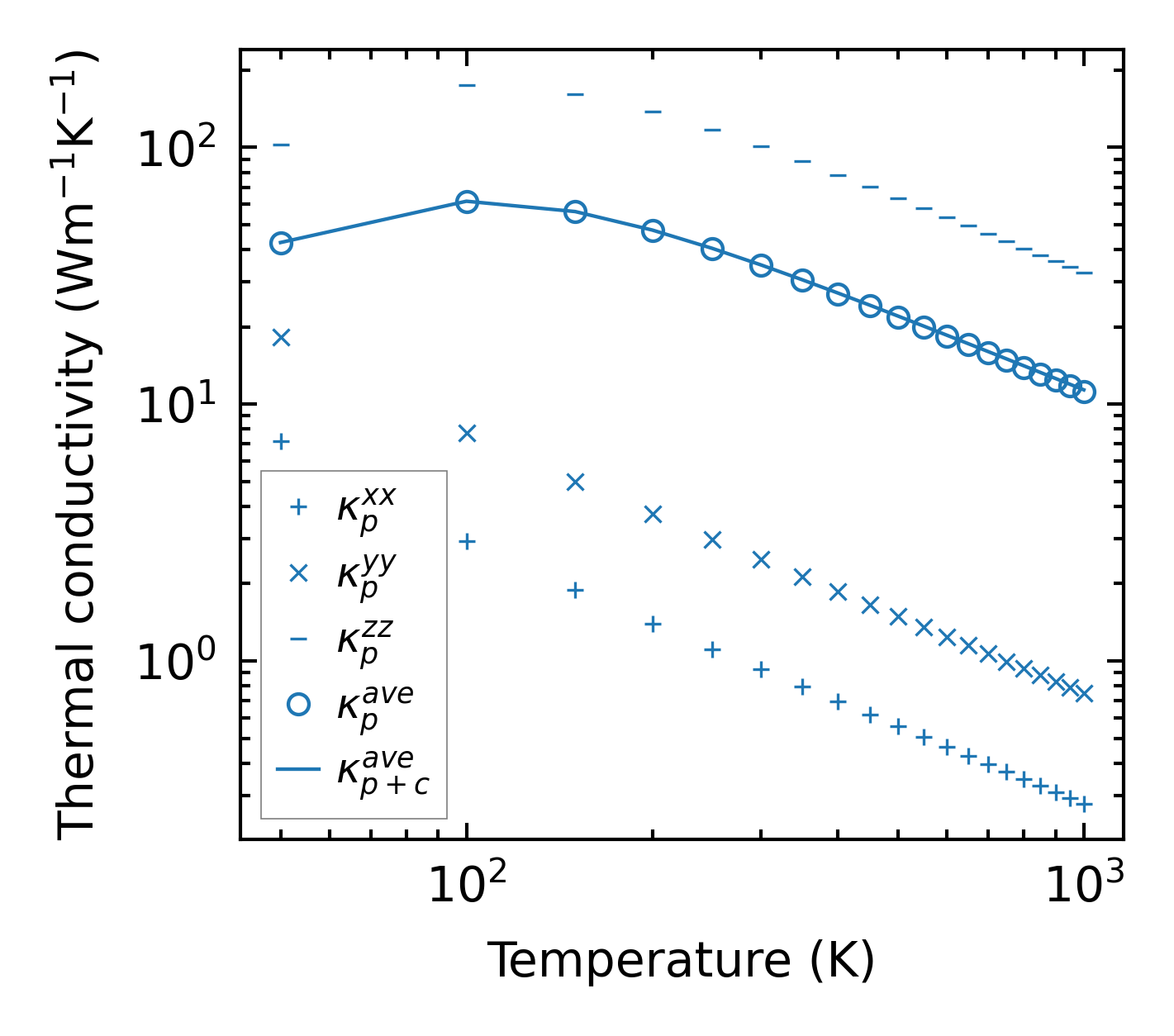
../../_images/fig_kappa10806.png

(a) Temperature-dependent lattice thermal conductivity

../../_images/fig_kappa_vs_grain_size5817.png

(b) Peierls lattice thermal conductivity w.r.t grain size

Phonon lifetime and scattering rates

../../_images/fig_lifetime5692.png

(a) Phonon lifetime due to phonon-phonon scattering

../../_images/fig_scat_rates5691.png

(b) Phonon scattering rates

Cumulative and spectral thermal conductivity

../../_images/fig_cumu_frequency5692.png

(a) Spectral and cumulative thermal conductivity w.r.t frequency

../../_images/fig_cumu_mfp5691.png

(b) Spectral and cumulative thermal conductivity w.r.t MFP

Force constants

../../_images/fig_fc213206.png

(a) Force constants w.r.t atomic distance

Summary

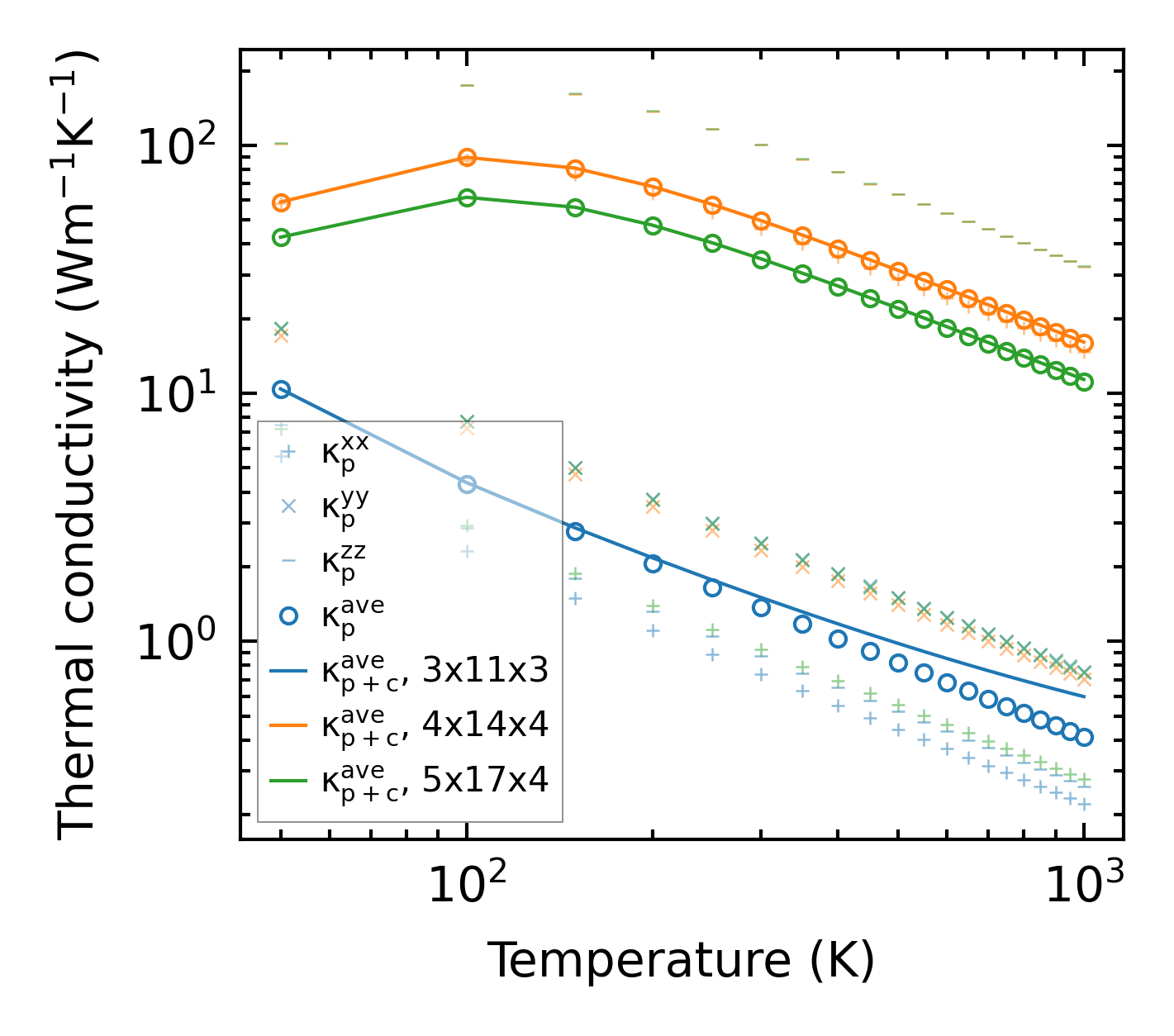
../../_images/fig_kappa10807.png

(a) Temperature-dependent lattice thermal conductivity

../../_images/fig_times22828.png

(b) Computation time