mp-18832-2/K2VO2F3/anharm

Equation of state

../../_images/fig_bm6801.png

(a) Equation of state

Harmonic properties

../../_images/fig_bandos_pr13621.png

(a) Phonon dispersion with participation ratio and DOS

../../_images/fig_thermo13621.png

(b) Thermodynamic properties

Grüneisen parameters

../../_images/fig_gru_all5759.png

(a) Grüneisen parameters

../../_images/fig_gruneisen5759.png

(b) Phonon dispersion with Grüneisen parameters

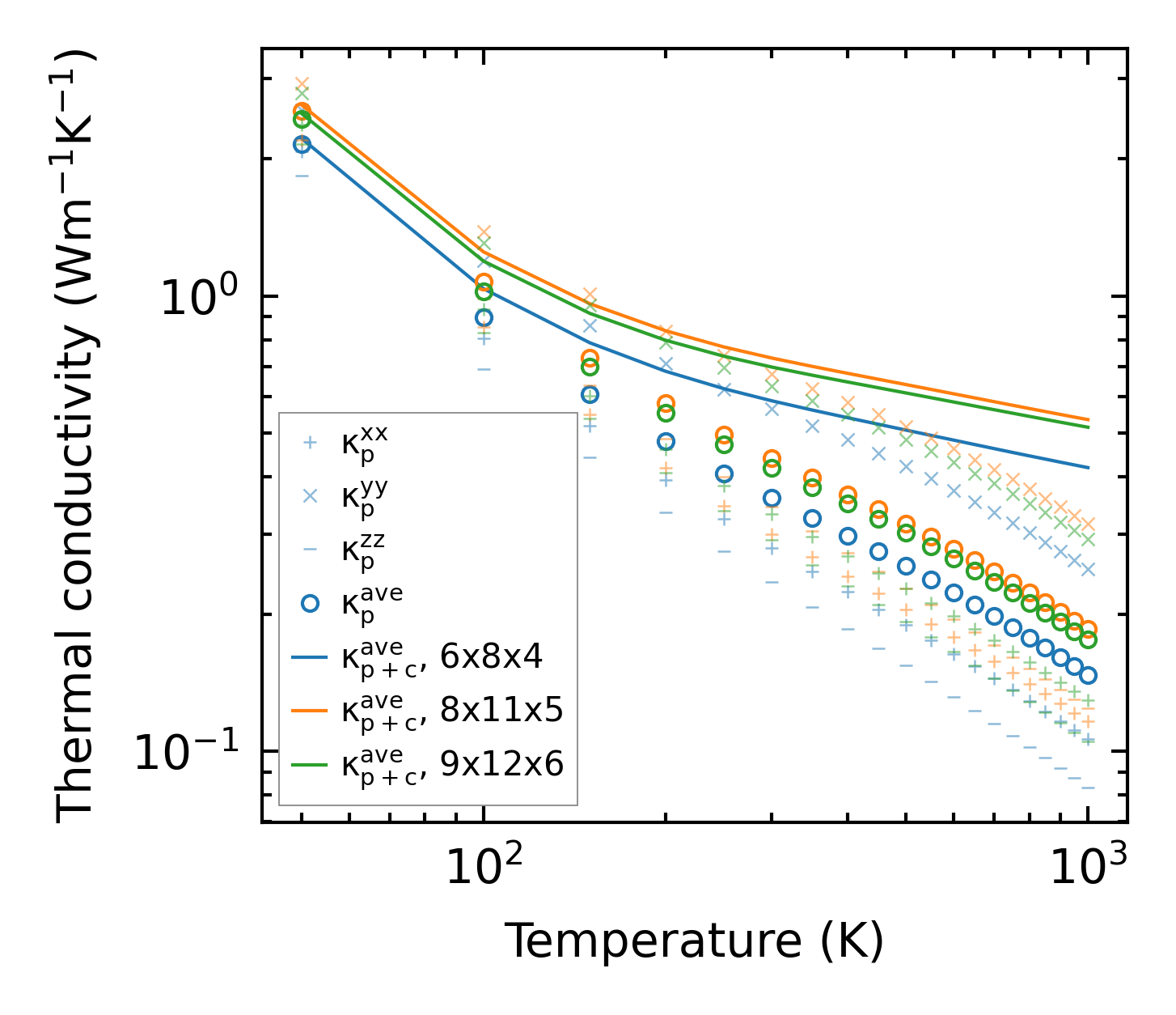
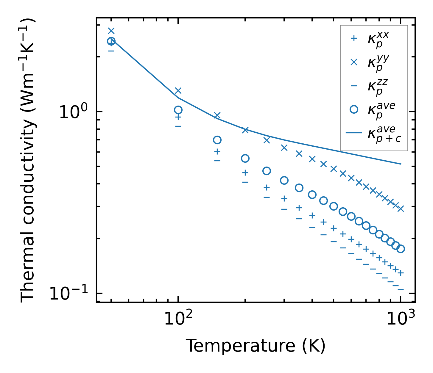
Thermal conductivity

3-phonon (LASSO) — q-mesh: 9x12x6, supercell: 2x2x1

../../_images/fig_kappa10831.png

(a) Temperature-dependent lattice thermal conductivity

../../_images/fig_kappa_vs_grain_size5830.png

(b) Peierls lattice thermal conductivity w.r.t grain size

Phonon lifetime and scattering rates

../../_images/fig_lifetime5704.png

(a) Phonon lifetime due to phonon-phonon scattering

../../_images/fig_scat_rates5703.png

(b) Phonon scattering rates

Cumulative and spectral thermal conductivity

../../_images/fig_cumu_frequency5704.png

(a) Spectral and cumulative thermal conductivity w.r.t frequency

../../_images/fig_cumu_mfp5703.png

(b) Spectral and cumulative thermal conductivity w.r.t MFP

Force constants

../../_images/fig_fc213249.png

(a) Force constants w.r.t atomic distance

Summary

../../_images/fig_kappa10832.png

(a) Temperature-dependent lattice thermal conductivity

../../_images/fig_times22880.png

(b) Computation time