mp-18642-2/CaY2S4/anharm

Equation of state

../../_images/fig_bm6781.png

(a) Equation of state

Harmonic properties

../../_images/fig_bandos_pr13575.png

(a) Phonon dispersion with participation ratio and DOS

../../_images/fig_thermo13575.png

(b) Thermodynamic properties

Grüneisen parameters

../../_images/fig_gru_all5744.png

(a) Grüneisen parameters

../../_images/fig_gruneisen5744.png

(b) Phonon dispersion with Grüneisen parameters

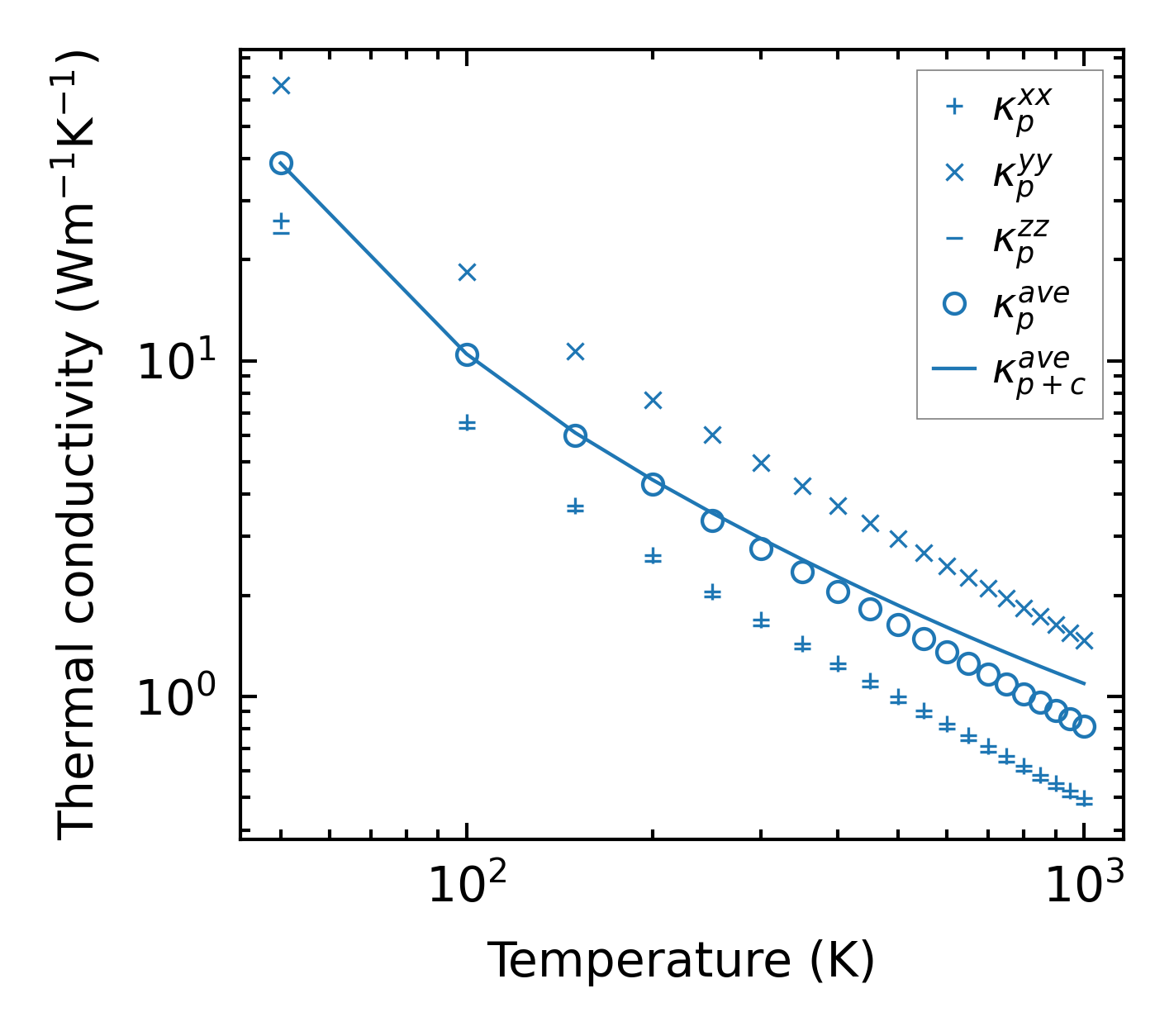
Thermal conductivity

3-phonon (LASSO) — q-mesh: 5x18x5, supercell: 1x4x1

../../_images/fig_kappa10799.png

(a) Temperature-dependent lattice thermal conductivity

../../_images/fig_kappa_vs_grain_size5813.png

(b) Peierls lattice thermal conductivity w.r.t grain size

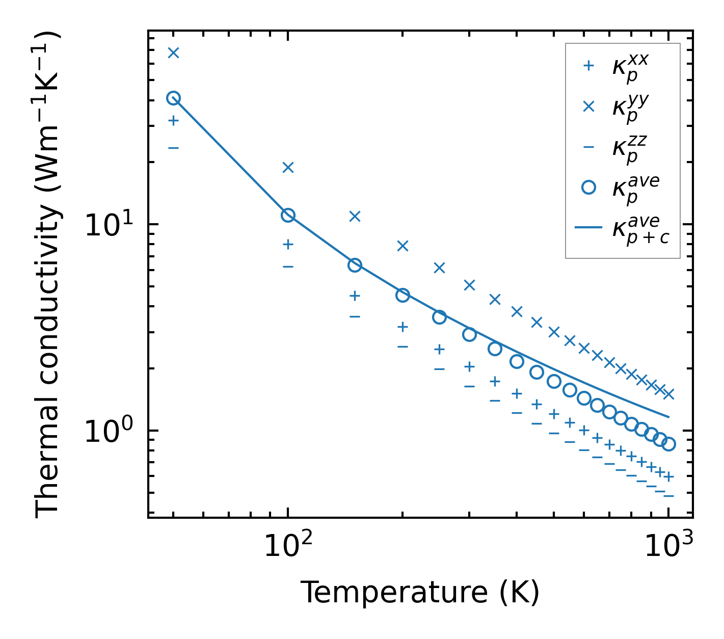
3-phonon (LASSO), supercell 2x4x1 — q-mesh: 5x18x5, supercell: 2x4x1

../../_images/fig_kappa10800.png

(a) Temperature-dependent lattice thermal conductivity

../../_images/fig_kappa_vs_grain_size5814.png

(b) Peierls lattice thermal conductivity w.r.t grain size

Phonon lifetime and scattering rates

../../_images/fig_lifetime5689.png

(a) Phonon lifetime due to phonon-phonon scattering

../../_images/fig_scat_rates5688.png

(b) Phonon scattering rates

Cumulative and spectral thermal conductivity

../../_images/fig_cumu_frequency5689.png

(a) Spectral and cumulative thermal conductivity w.r.t frequency

../../_images/fig_cumu_mfp5688.png

(b) Spectral and cumulative thermal conductivity w.r.t MFP

Force constants

../../_images/fig_fc213203.png

(a) Force constants w.r.t atomic distance

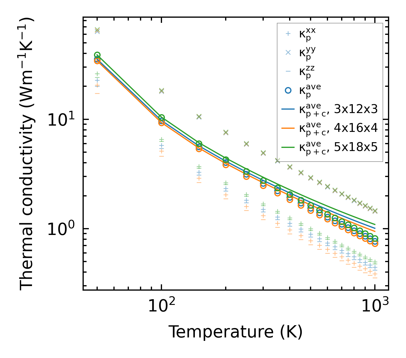
Summary

../../_images/fig_kappa10801.png

(a) Temperature-dependent lattice thermal conductivity

../../_images/fig_times22823.png

(b) Computation time