mp-18327/Ba2Tl2O5/anharm

Harmonic properties

../../_images/fig_bandos_pr13840.png

(a) Phonon dispersion with participation ratio and DOS

../../_images/fig_thermo13840.png

(b) Thermodynamic properties

Grüneisen parameters

../../_images/fig_gru_all5842.png

(a) Grüneisen parameters

../../_images/fig_gruneisen5842.png

(b) Phonon dispersion with Grüneisen parameters

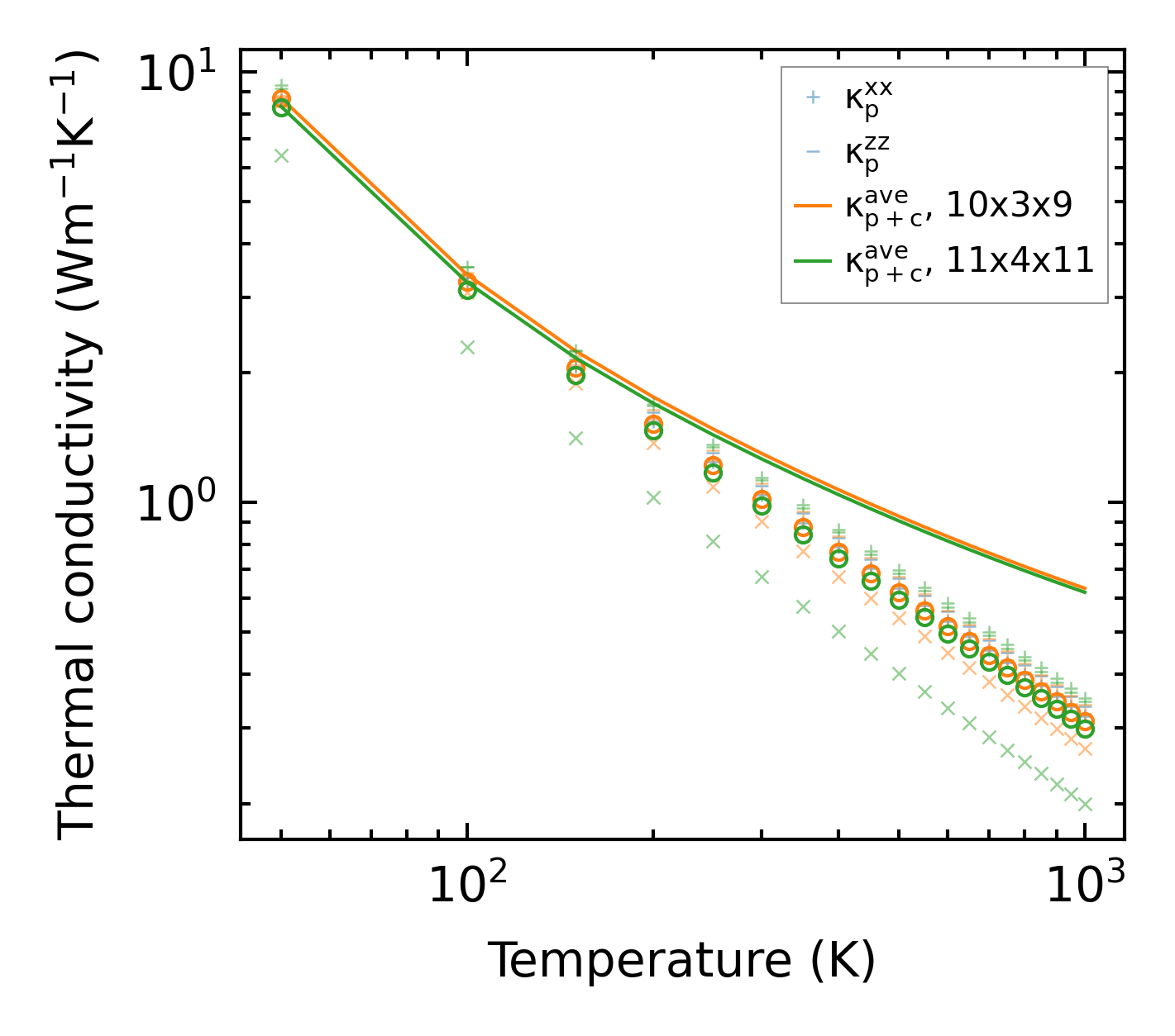
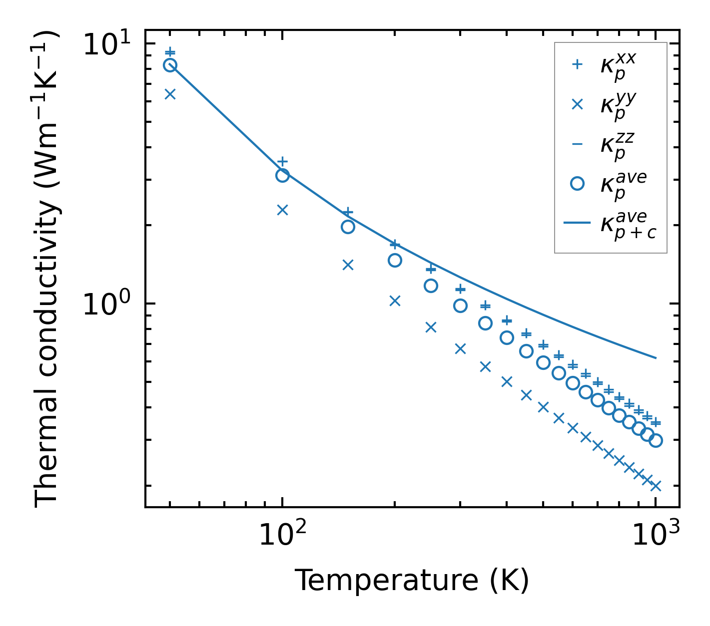
Thermal conductivity

3-phonon (LASSO) — q-mesh: 11x4x11, supercell: 2x1x2

../../_images/fig_kappa10988.png

(a) Temperature-dependent lattice thermal conductivity

../../_images/fig_kappa_vs_grain_size5915.png

(b) Peierls lattice thermal conductivity w.r.t grain size

Phonon lifetime and scattering rates

../../_images/fig_lifetime5785.png

(a) Phonon lifetime due to phonon-phonon scattering

../../_images/fig_scat_rates5784.png

(b) Phonon scattering rates

Cumulative and spectral thermal conductivity

../../_images/fig_cumu_frequency5785.png

(a) Spectral and cumulative thermal conductivity w.r.t frequency

../../_images/fig_cumu_mfp5784.png

(b) Spectral and cumulative thermal conductivity w.r.t MFP

Force constants

../../_images/fig_fc213468.png

(a) Force constants w.r.t atomic distance

Summary

../../_images/fig_kappa10989.png

(a) Temperature-dependent lattice thermal conductivity

../../_images/fig_times23211.png

(b) Computation time