mp-18449-2/K2ZrO3/anharm

Equation of state

../../_images/fig_bm6948.png

(a) Equation of state

Harmonic properties

../../_images/fig_bandos_pr13876.png

(a) Phonon dispersion with participation ratio and DOS

../../_images/fig_thermo13876.png

(b) Thermodynamic properties

Grüneisen parameters

../../_images/fig_gru_all5860.png

(a) Grüneisen parameters

../../_images/fig_gruneisen5860.png

(b) Phonon dispersion with Grüneisen parameters

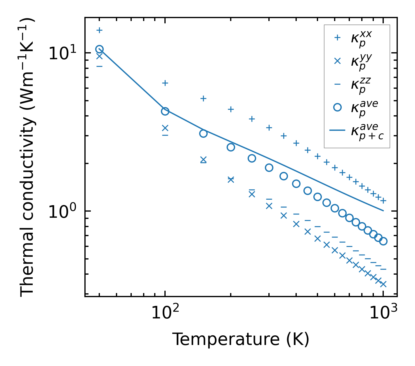
Thermal conductivity

3-phonon (LASSO) — q-mesh: 12x6x10, supercell: 2x1x2

../../_images/fig_kappa11025.png

(a) Temperature-dependent lattice thermal conductivity

../../_images/fig_kappa_vs_grain_size5934.png

(b) Peierls lattice thermal conductivity w.r.t grain size

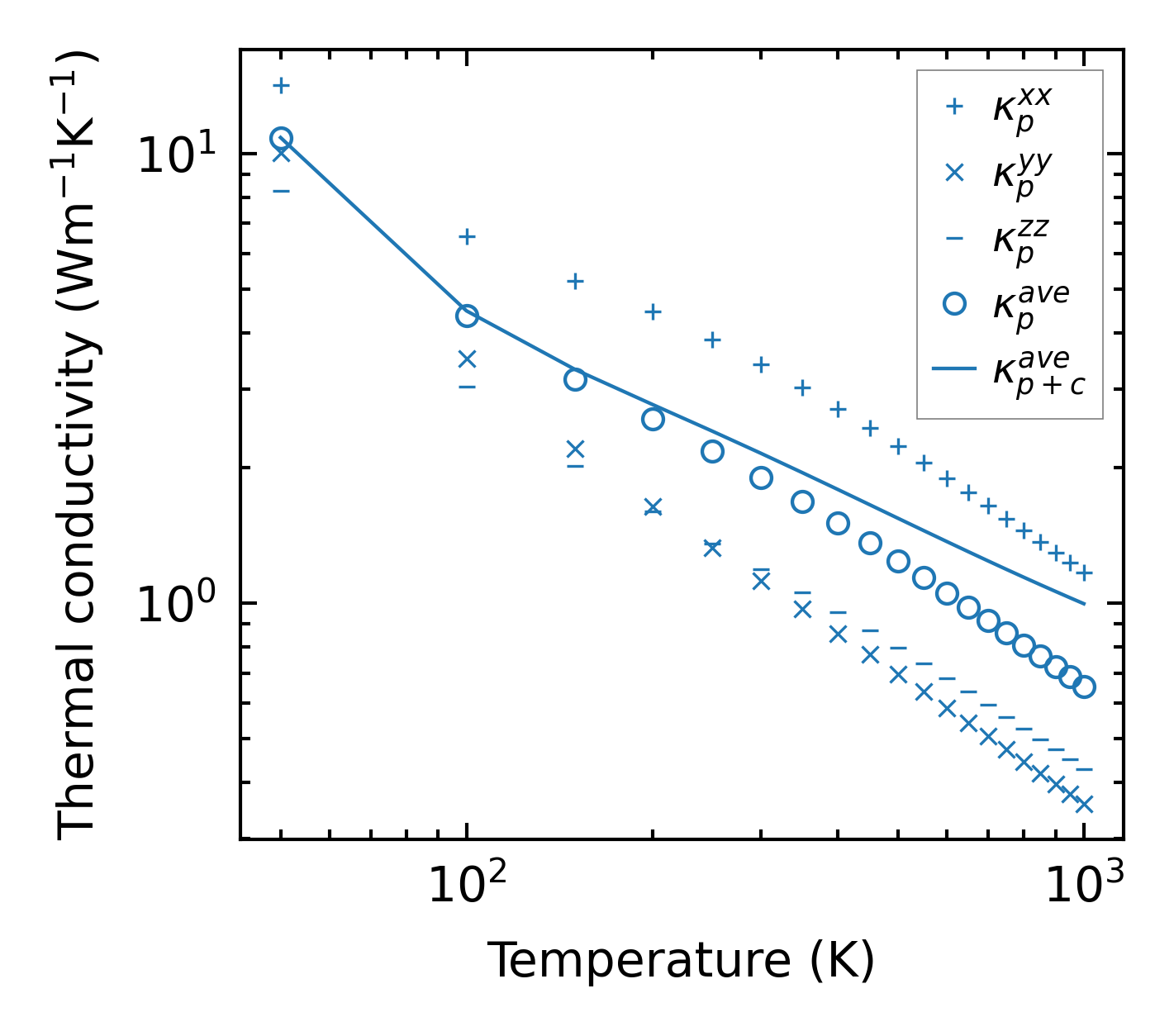
3-phonon (LASSO), supercell 2x2x2 — q-mesh: 12x6x10, supercell: 2x2x2

../../_images/fig_kappa11026.png

(a) Temperature-dependent lattice thermal conductivity

../../_images/fig_kappa_vs_grain_size5935.png

(b) Peierls lattice thermal conductivity w.r.t grain size

Phonon lifetime and scattering rates

../../_images/fig_lifetime5803.png

(a) Phonon lifetime due to phonon-phonon scattering

../../_images/fig_scat_rates5802.png

(b) Phonon scattering rates

Cumulative and spectral thermal conductivity

../../_images/fig_cumu_frequency5803.png

(a) Spectral and cumulative thermal conductivity w.r.t frequency

../../_images/fig_cumu_mfp5802.png

(b) Spectral and cumulative thermal conductivity w.r.t MFP

Force constants

../../_images/fig_fc213504.png

(a) Force constants w.r.t atomic distance

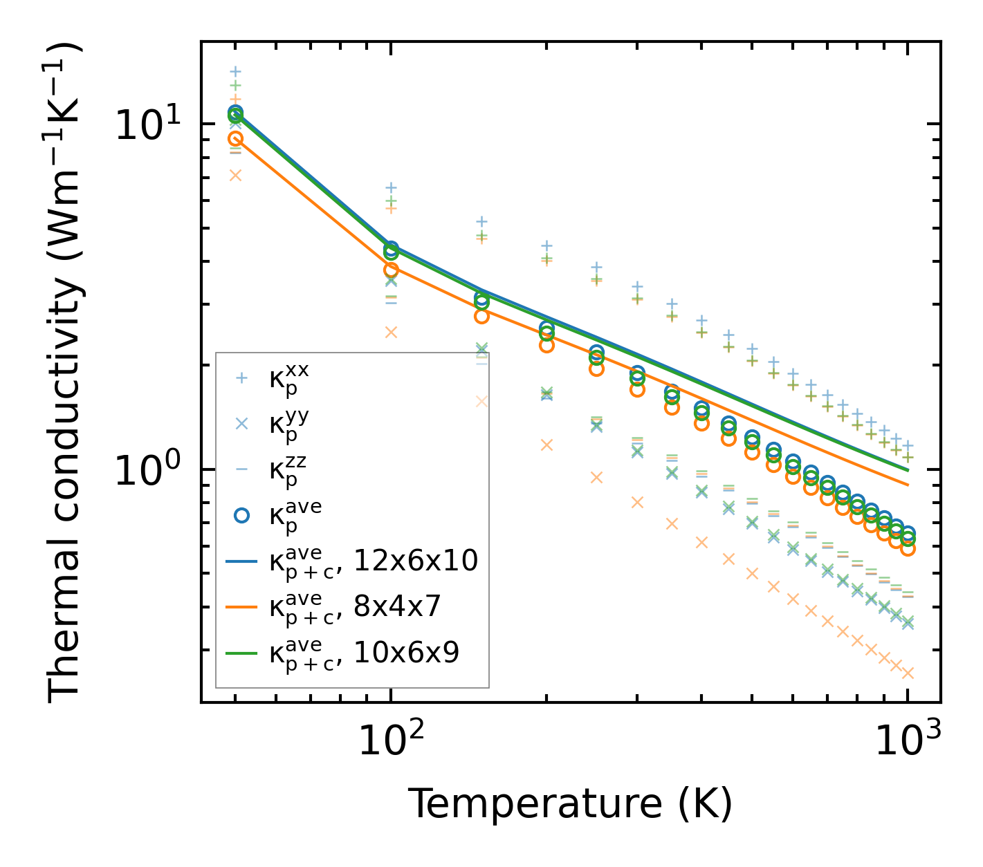
Summary

../../_images/fig_kappa11027.png

(a) Temperature-dependent lattice thermal conductivity

../../_images/fig_times23264.png

(b) Computation time