mp-18498/Sr3YRhO6/anharm

Harmonic properties

../../_images/fig_bandos_pr13894.png

(a) Phonon dispersion with participation ratio and DOS

../../_images/fig_thermo13894.png

(b) Thermodynamic properties

Grüneisen parameters

../../_images/fig_gru_all5868.png

(a) Grüneisen parameters

../../_images/fig_gruneisen5868.png

(b) Phonon dispersion with Grüneisen parameters

Thermal conductivity

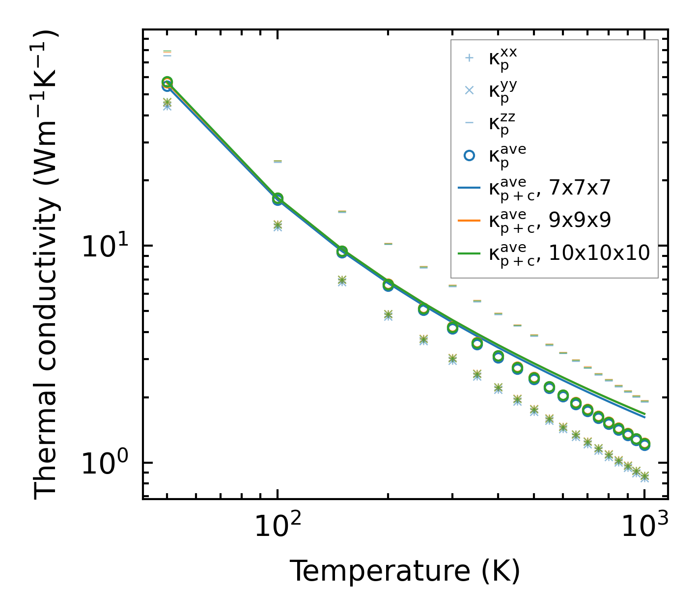
3-phonon (LASSO) — q-mesh: 10x10x10, supercell: 1x1x1

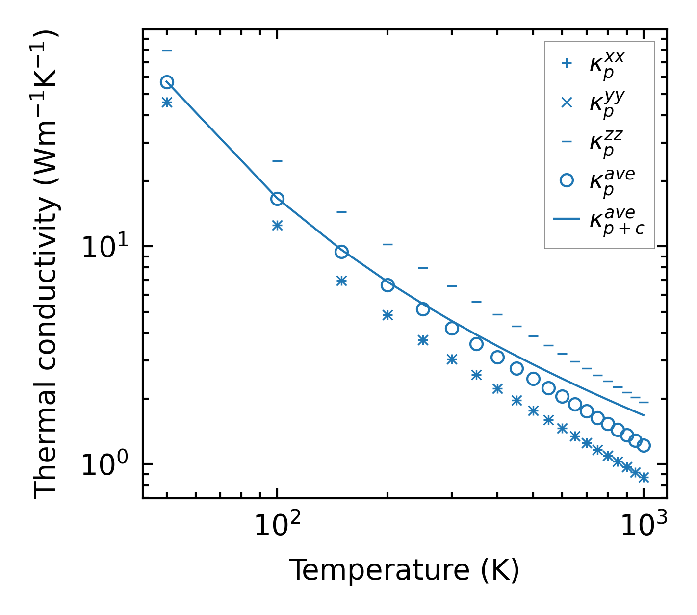
../../_images/fig_kappa11042.png

(a) Temperature-dependent lattice thermal conductivity

../../_images/fig_kappa_vs_grain_size5944.png

(b) Peierls lattice thermal conductivity w.r.t grain size

Phonon lifetime and scattering rates

../../_images/fig_lifetime5811.png

(a) Phonon lifetime due to phonon-phonon scattering

../../_images/fig_scat_rates5810.png

(b) Phonon scattering rates

Cumulative and spectral thermal conductivity

../../_images/fig_cumu_frequency5811.png

(a) Spectral and cumulative thermal conductivity w.r.t frequency

../../_images/fig_cumu_mfp5810.png

(b) Spectral and cumulative thermal conductivity w.r.t MFP

Force constants

../../_images/fig_fc213522.png

(a) Force constants w.r.t atomic distance

Summary

../../_images/fig_kappa11043.png

(a) Temperature-dependent lattice thermal conductivity

../../_images/fig_times23288.png

(b) Computation time