mp-18062/Na10YbSn12/anharm

Equation of state

../../_images/fig_bm6874.png

(a) Equation of state

Harmonic properties

../../_images/fig_bandos_pr13761.png

(a) Phonon dispersion with participation ratio and DOS

../../_images/fig_thermo13761.png

(b) Thermodynamic properties

Grüneisen parameters

../../_images/fig_gru_all5799.png

(a) Grüneisen parameters

../../_images/fig_gruneisen5799.png

(b) Phonon dispersion with Grüneisen parameters

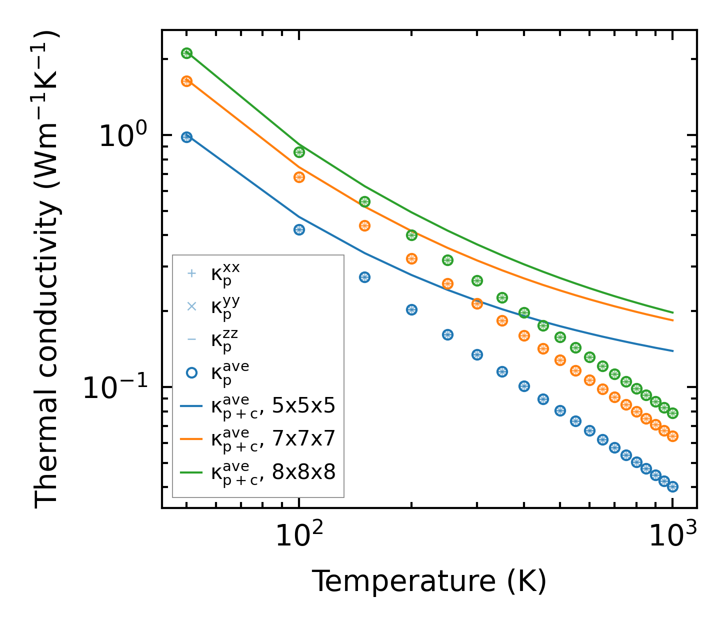
Thermal conductivity

3-phonon (LASSO) — q-mesh: 8x8x8, supercell: 1x1x1

../../_images/fig_kappa10903.png

(a) Temperature-dependent lattice thermal conductivity

../../_images/fig_kappa_vs_grain_size5869.png

(b) Peierls lattice thermal conductivity w.r.t grain size

Phonon lifetime and scattering rates

../../_images/fig_lifetime5743.png

(a) Phonon lifetime due to phonon-phonon scattering

../../_images/fig_scat_rates5742.png

(b) Phonon scattering rates

Cumulative and spectral thermal conductivity

../../_images/fig_cumu_frequency5743.png

(a) Spectral and cumulative thermal conductivity w.r.t frequency

../../_images/fig_cumu_mfp5742.png

(b) Spectral and cumulative thermal conductivity w.r.t MFP

Force constants

../../_images/fig_fc213389.png

(a) Force constants w.r.t atomic distance

Summary

../../_images/fig_kappa10904.png

(a) Temperature-dependent lattice thermal conductivity

../../_images/fig_times23080.png

(b) Computation time