mp-18351/Sr3Ge2P4/anharm

Harmonic properties

../../_images/fig_bandos_pr13848.png

(a) Phonon dispersion with participation ratio and DOS

../../_images/fig_thermo13848.png

(b) Thermodynamic properties

Grüneisen parameters

../../_images/fig_gru_all5849.png

(a) Grüneisen parameters

../../_images/fig_gruneisen5849.png

(b) Phonon dispersion with Grüneisen parameters

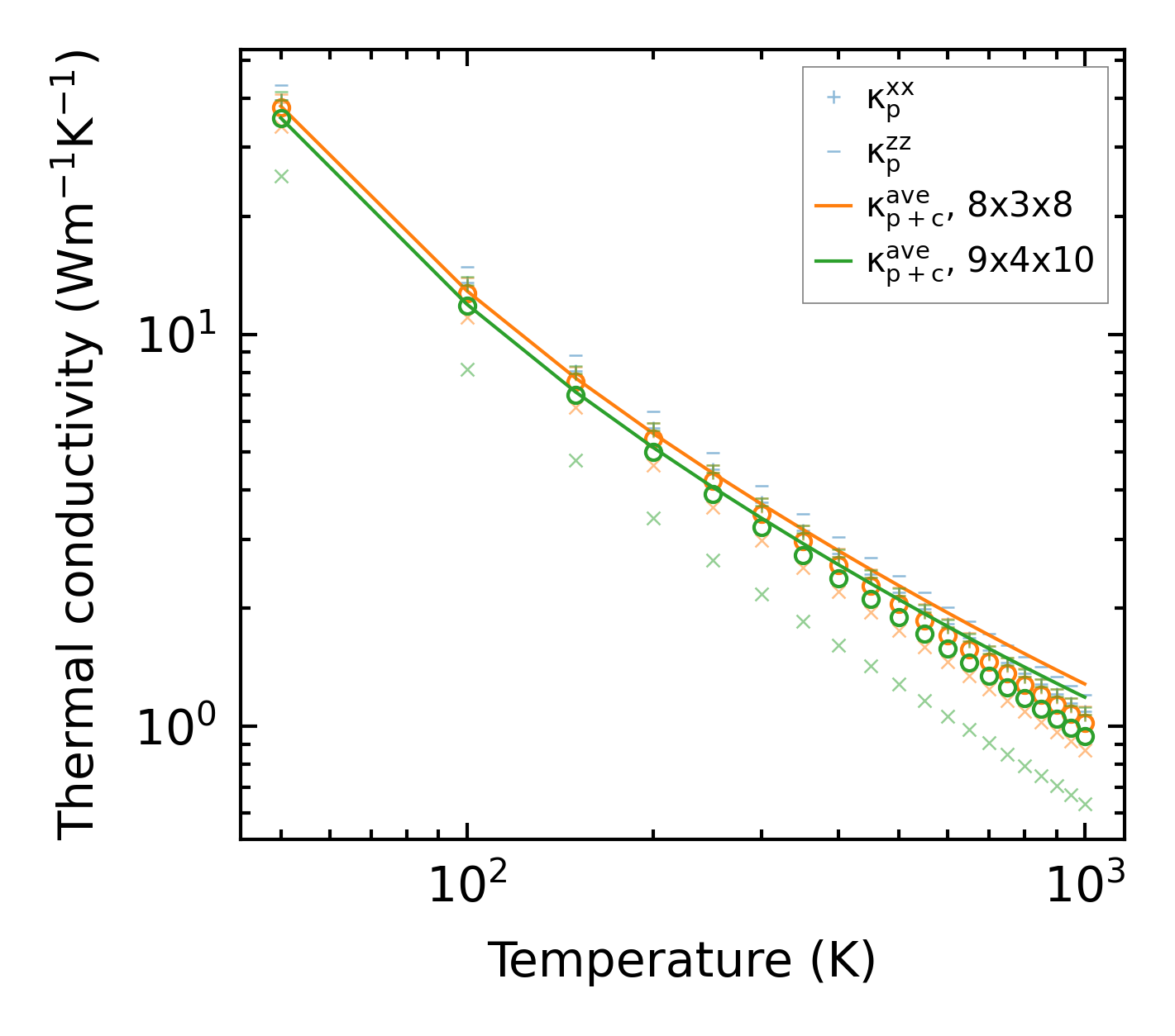
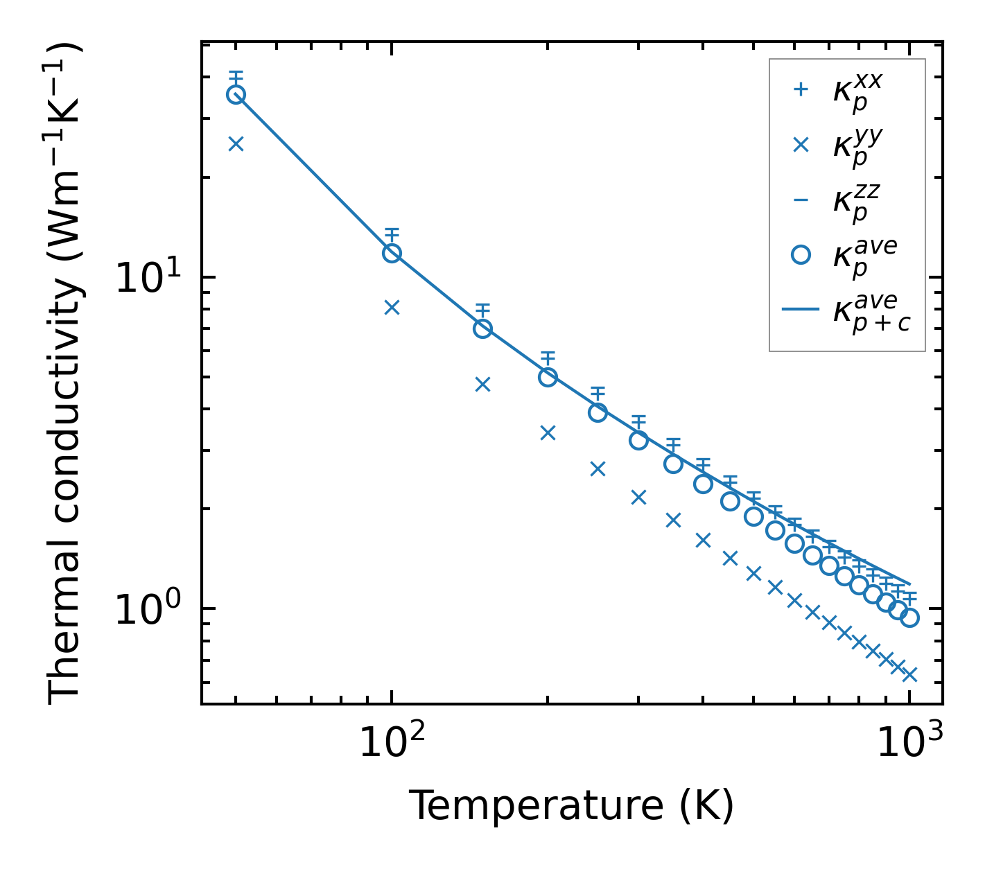
Thermal conductivity

3-phonon (LASSO) — q-mesh: 9x4x10, supercell: 2x1x2

../../_images/fig_kappa11002.png

(a) Temperature-dependent lattice thermal conductivity

../../_images/fig_kappa_vs_grain_size5922.png

(b) Peierls lattice thermal conductivity w.r.t grain size

Phonon lifetime and scattering rates

../../_images/fig_lifetime5792.png

(a) Phonon lifetime due to phonon-phonon scattering

../../_images/fig_scat_rates5791.png

(b) Phonon scattering rates

Cumulative and spectral thermal conductivity

../../_images/fig_cumu_frequency5792.png

(a) Spectral and cumulative thermal conductivity w.r.t frequency

../../_images/fig_cumu_mfp5791.png

(b) Spectral and cumulative thermal conductivity w.r.t MFP

Force constants

../../_images/fig_fc213476.png

(a) Force constants w.r.t atomic distance

Summary

../../_images/fig_kappa11003.png

(a) Temperature-dependent lattice thermal conductivity

../../_images/fig_times23223.png

(b) Computation time