mp-18504/Ca3Ge2As4/anharm

Harmonic properties

../../_images/fig_bandos_pr13897.png

(a) Phonon dispersion with participation ratio and DOS

../../_images/fig_thermo13897.png

(b) Thermodynamic properties

Grüneisen parameters

../../_images/fig_gru_all5871.png

(a) Grüneisen parameters

../../_images/fig_gruneisen5871.png

(b) Phonon dispersion with Grüneisen parameters

Thermal conductivity

3-phonon (LASSO) — q-mesh: 10x4x10, supercell: 2x1x2

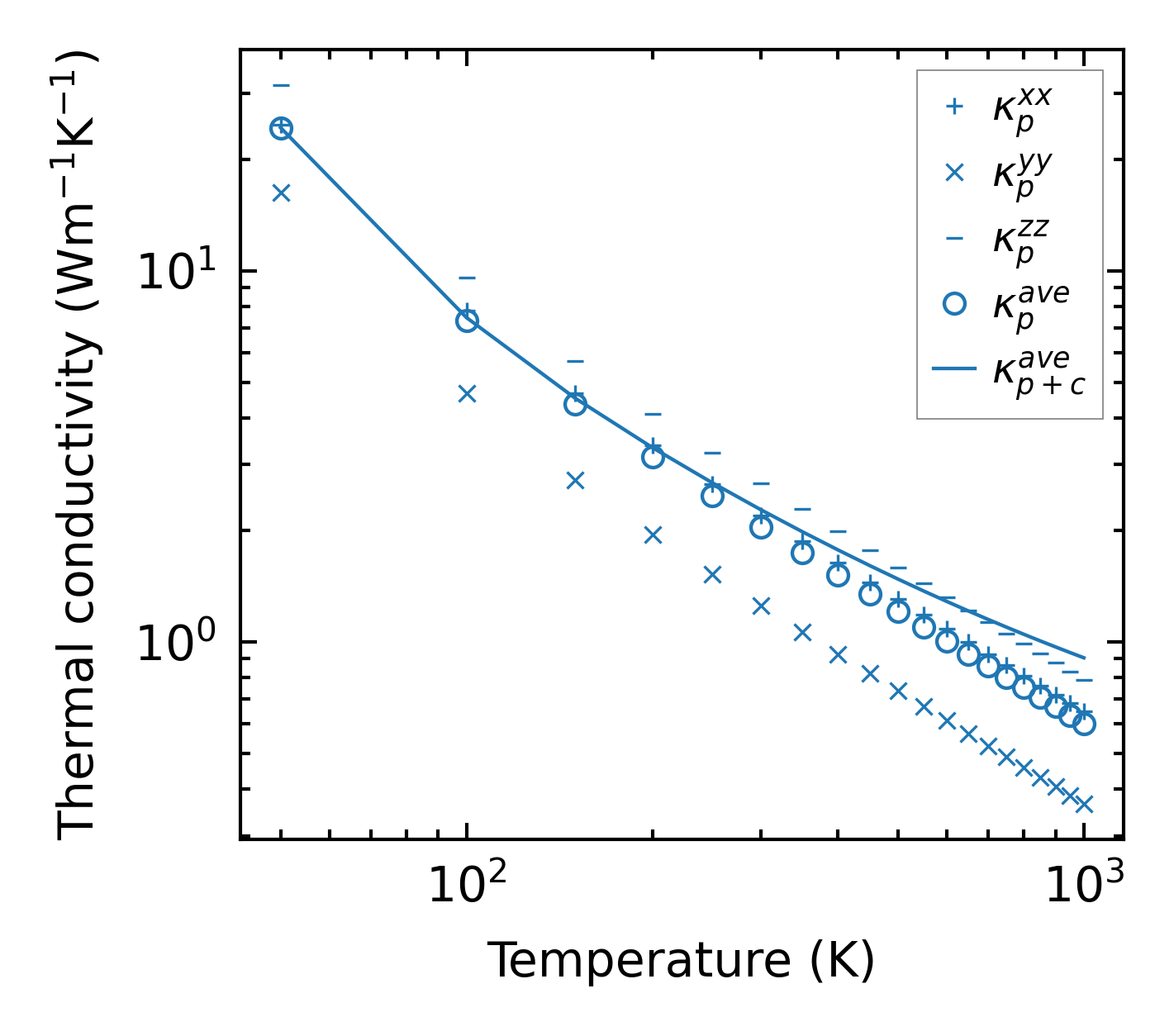
../../_images/fig_kappa11048.png

(a) Temperature-dependent lattice thermal conductivity

../../_images/fig_kappa_vs_grain_size5947.png

(b) Peierls lattice thermal conductivity w.r.t grain size

Phonon lifetime and scattering rates

../../_images/fig_lifetime5814.png

(a) Phonon lifetime due to phonon-phonon scattering

../../_images/fig_scat_rates5813.png

(b) Phonon scattering rates

Cumulative and spectral thermal conductivity

../../_images/fig_cumu_frequency5814.png

(a) Spectral and cumulative thermal conductivity w.r.t frequency

../../_images/fig_cumu_mfp5813.png

(b) Spectral and cumulative thermal conductivity w.r.t MFP

Force constants

../../_images/fig_fc213525.png

(a) Force constants w.r.t atomic distance

Summary

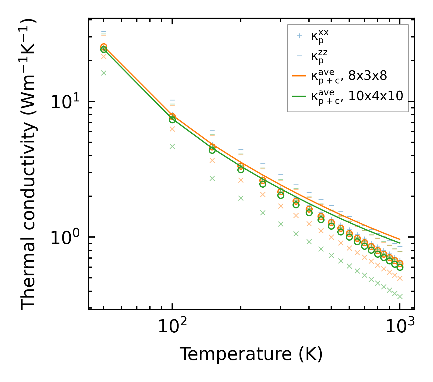
../../_images/fig_kappa11049.png

(a) Temperature-dependent lattice thermal conductivity

../../_images/fig_times23294.png

(b) Computation time