mp-18466/Nd2SiSeO4/anharm

Harmonic properties

../../_images/fig_bandos_pr13881.png

(a) Phonon dispersion with participation ratio and DOS

../../_images/fig_thermo13881.png

(b) Thermodynamic properties

Grüneisen parameters

../../_images/fig_gru_all5863.png

(a) Grüneisen parameters

../../_images/fig_gruneisen5863.png

(b) Phonon dispersion with Grüneisen parameters

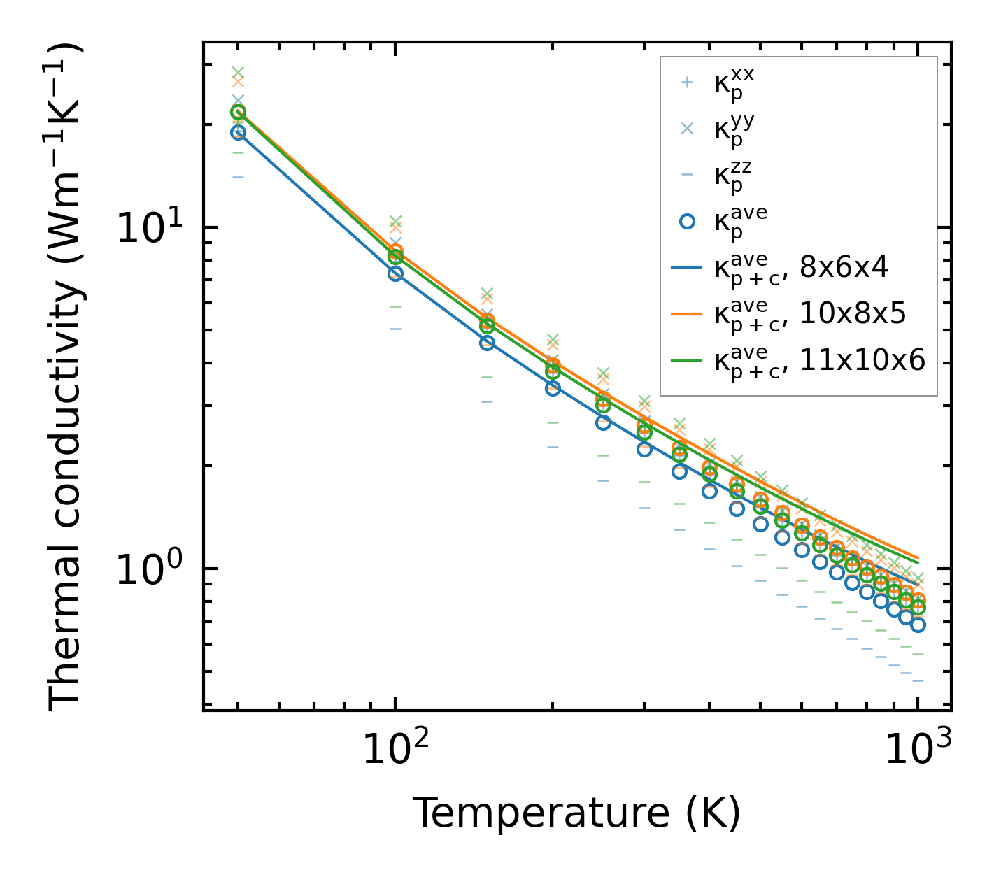
Thermal conductivity

3-phonon (LASSO) — q-mesh: 11x10x6, supercell: 2x2x1

../../_images/fig_kappa11031.png

(a) Temperature-dependent lattice thermal conductivity

../../_images/fig_kappa_vs_grain_size5938.png

(b) Peierls lattice thermal conductivity w.r.t grain size

Phonon lifetime and scattering rates

../../_images/fig_lifetime5806.png

(a) Phonon lifetime due to phonon-phonon scattering

../../_images/fig_scat_rates5805.png

(b) Phonon scattering rates

Cumulative and spectral thermal conductivity

../../_images/fig_cumu_frequency5806.png

(a) Spectral and cumulative thermal conductivity w.r.t frequency

../../_images/fig_cumu_mfp5805.png

(b) Spectral and cumulative thermal conductivity w.r.t MFP

Force constants

../../_images/fig_fc213509.png

(a) Force constants w.r.t atomic distance

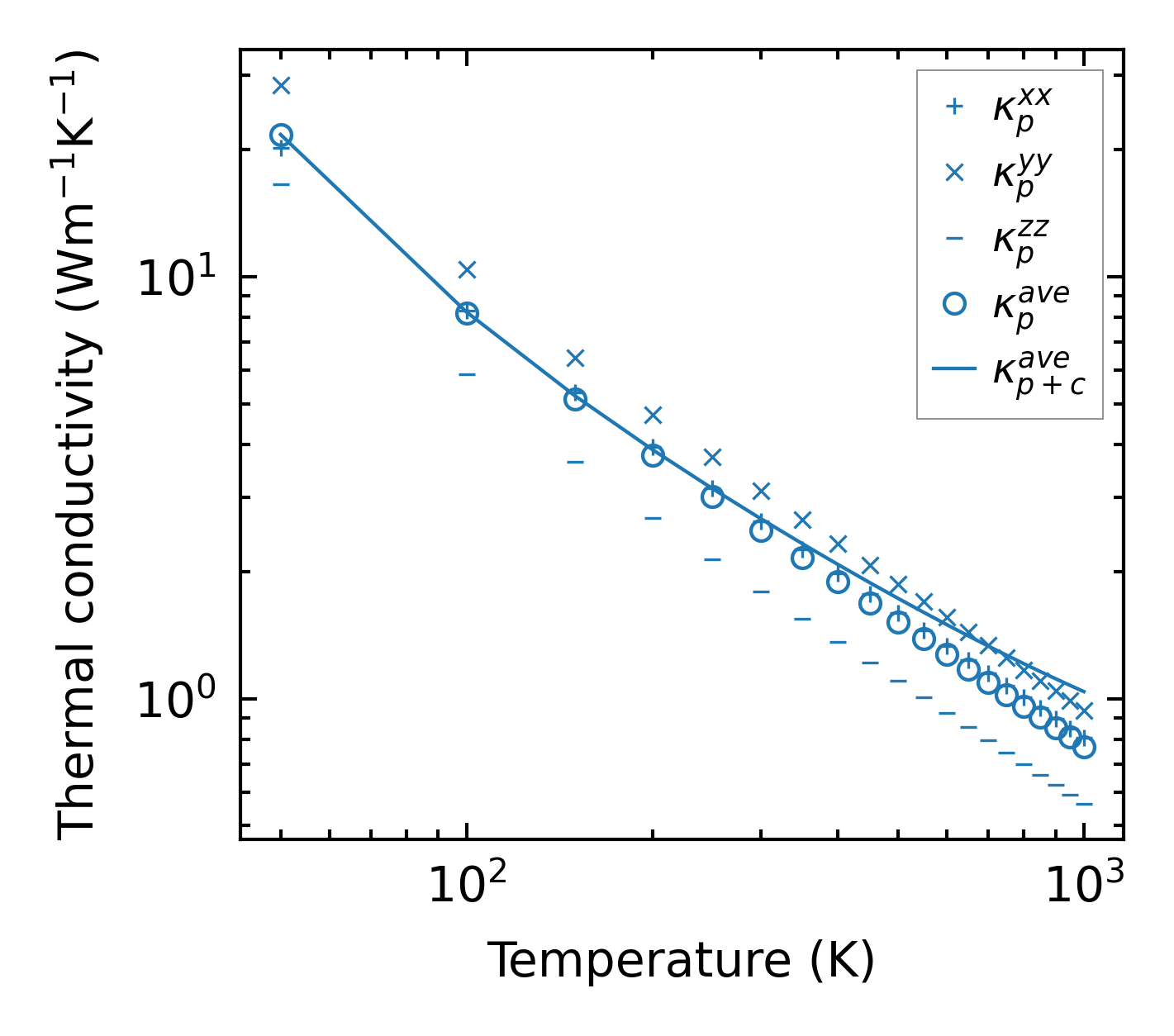
Summary

../../_images/fig_kappa11032.png

(a) Temperature-dependent lattice thermal conductivity

../../_images/fig_times23272.png

(b) Computation time