mp-18199/Sr3TaAs3O/anharm

Harmonic properties

../../_images/fig_bandos_pr13807.png

(a) Phonon dispersion with participation ratio and DOS

../../_images/fig_bandos18202.png

(b) Phonon dispersion and DOS

../../_images/fig_thermo13807.png

(c) Thermodynamic properties

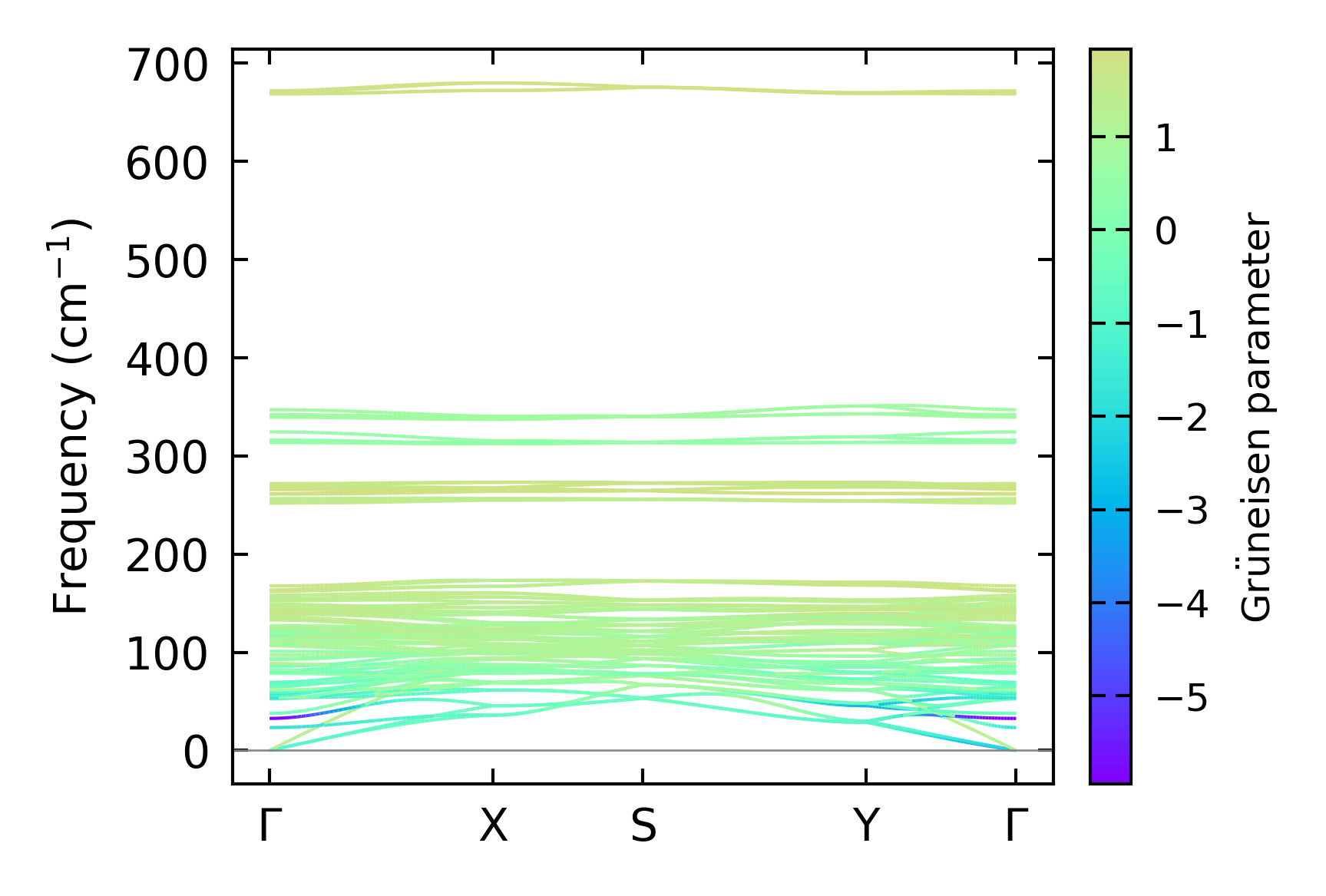
Grüneisen parameters

../../_images/fig_gru_all5820.png

(a) Grüneisen parameters

../../_images/fig_gruneisen5820.png

(b) Phonon dispersion with Grüneisen parameters

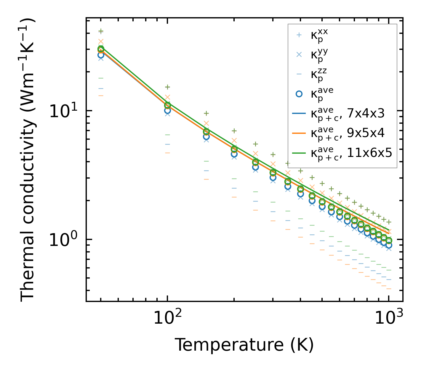
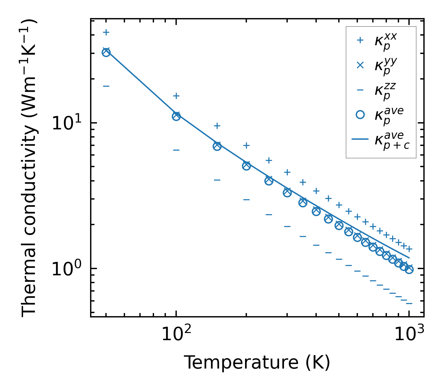
Thermal conductivity

3-phonon (LASSO) — q-mesh: 11x6x5, supercell: 2x2x1

../../_images/fig_kappa10945.png

(a) Temperature-dependent lattice thermal conductivity

../../_images/fig_kappa_vs_grain_size5892.png

(b) Peierls lattice thermal conductivity w.r.t grain size

Phonon lifetime and scattering rates

../../_images/fig_lifetime5764.png

(a) Phonon lifetime due to phonon-phonon scattering

../../_images/fig_scat_rates5763.png

(b) Phonon scattering rates

Cumulative and spectral thermal conductivity

../../_images/fig_cumu_frequency5764.png

(a) Spectral and cumulative thermal conductivity w.r.t frequency

../../_images/fig_cumu_mfp5763.png

(b) Spectral and cumulative thermal conductivity w.r.t MFP

Force constants

../../_images/fig_fc213435.png

(a) Force constants w.r.t atomic distance

Summary

../../_images/fig_kappa10946.png

(a) Temperature-dependent lattice thermal conductivity

../../_images/fig_times23156.png

(b) Computation time