mp-18301-3/RbMnO4/anharm

Equation of state

../../_images/fig_bm6924.png

(a) Equation of state

Harmonic properties

../../_images/fig_bandos_pr13828.png

(a) Phonon dispersion with participation ratio and DOS

../../_images/fig_bandos18230.png

(b) Phonon dispersion and DOS

../../_images/fig_thermo13828.png

(c) Thermodynamic properties

Grüneisen parameters

../../_images/fig_gru_all5835.png

(a) Grüneisen parameters

../../_images/fig_gruneisen5835.png

(b) Phonon dispersion with Grüneisen parameters

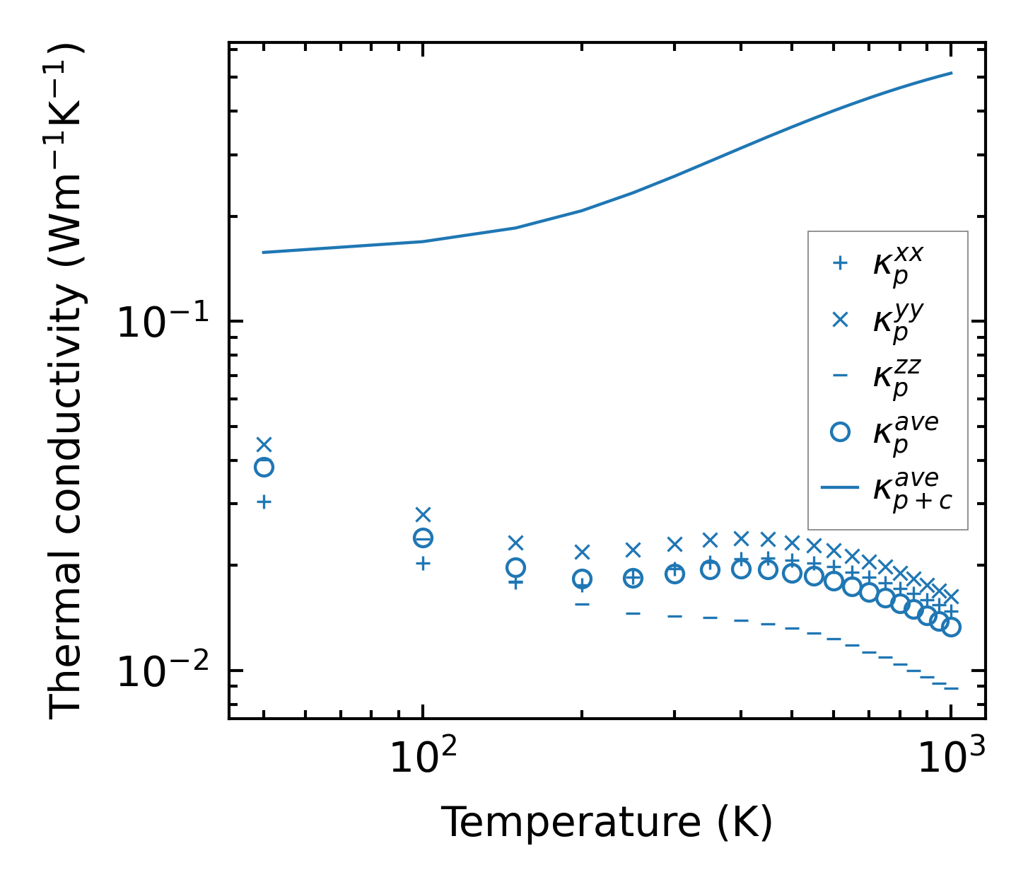
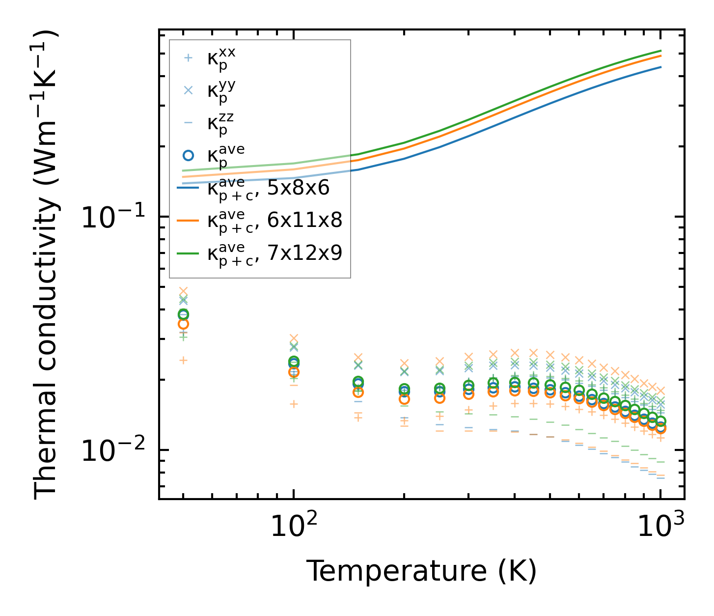
Thermal conductivity

3-phonon (LASSO) — q-mesh: 7x12x9, supercell: 1x2x2

../../_images/fig_kappa10973.png

(a) Temperature-dependent lattice thermal conductivity

../../_images/fig_kappa_vs_grain_size5907.png

(b) Peierls lattice thermal conductivity w.r.t grain size

3-phonon (LASSO), supercell 2x2x2 — q-mesh: 7x12x9, supercell: 2x2x2

../../_images/fig_kappa10974.png

(a) Temperature-dependent lattice thermal conductivity

../../_images/fig_kappa_vs_grain_size5908.png

(b) Peierls lattice thermal conductivity w.r.t grain size

Phonon lifetime and scattering rates

../../_images/fig_lifetime5778.png

(a) Phonon lifetime due to phonon-phonon scattering

../../_images/fig_scat_rates5777.png

(b) Phonon scattering rates

Cumulative and spectral thermal conductivity

../../_images/fig_cumu_frequency5778.png

(a) Spectral and cumulative thermal conductivity w.r.t frequency

../../_images/fig_cumu_mfp5777.png

(b) Spectral and cumulative thermal conductivity w.r.t MFP

Force constants

../../_images/fig_fc213456.png

(a) Force constants w.r.t atomic distance

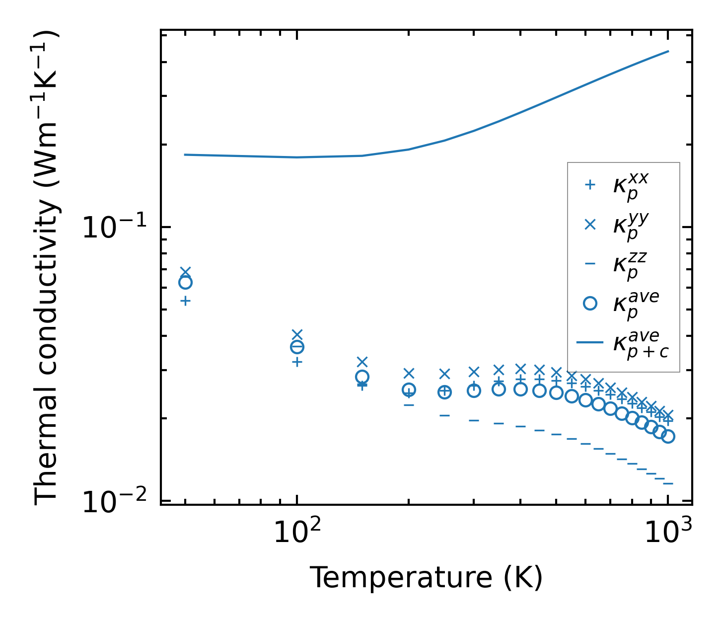
Summary

../../_images/fig_kappa10975.png

(a) Temperature-dependent lattice thermal conductivity

../../_images/fig_times23195.png

(b) Computation time