mp-18008/Ba2HgS3/anharm

Harmonic properties

../../_images/fig_bandos_pr13750.png

(a) Phonon dispersion with participation ratio and DOS

../../_images/fig_thermo13750.png

(b) Thermodynamic properties

Grüneisen parameters

../../_images/fig_gru_all5794.png

(a) Grüneisen parameters

../../_images/fig_gruneisen5794.png

(b) Phonon dispersion with Grüneisen parameters

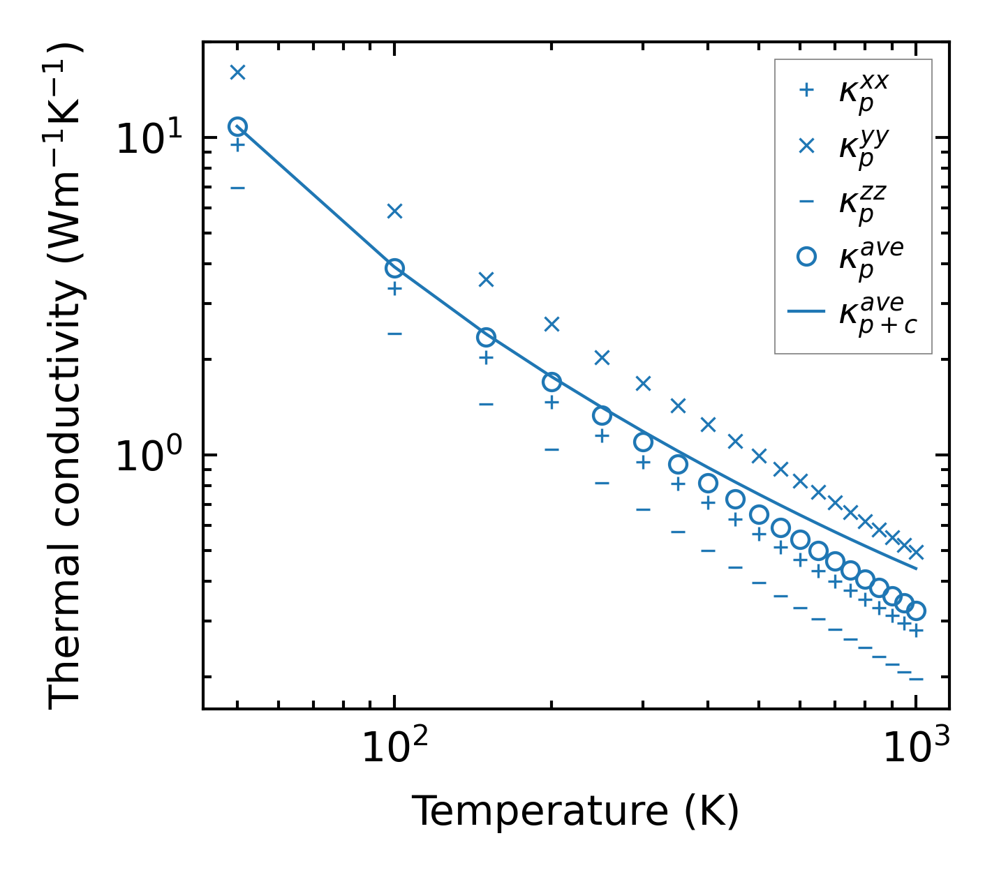
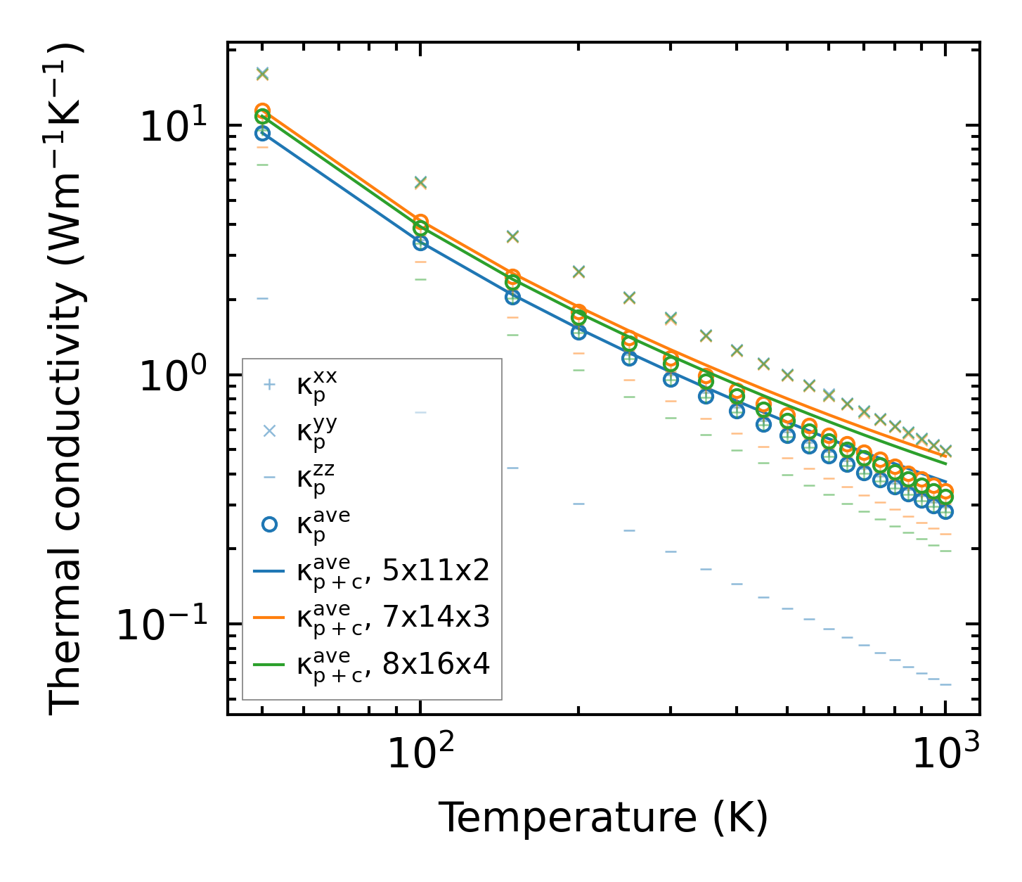
Thermal conductivity

3-phonon (LASSO) — q-mesh: 8x16x4, supercell: 2x3x1

../../_images/fig_kappa10894.png

(a) Temperature-dependent lattice thermal conductivity

../../_images/fig_kappa_vs_grain_size5864.png

(b) Peierls lattice thermal conductivity w.r.t grain size

Phonon lifetime and scattering rates

../../_images/fig_lifetime5738.png

(a) Phonon lifetime due to phonon-phonon scattering

../../_images/fig_scat_rates5737.png

(b) Phonon scattering rates

Cumulative and spectral thermal conductivity

../../_images/fig_cumu_frequency5738.png

(a) Spectral and cumulative thermal conductivity w.r.t frequency

../../_images/fig_cumu_mfp5737.png

(b) Spectral and cumulative thermal conductivity w.r.t MFP

Force constants

../../_images/fig_fc213378.png

(a) Force constants w.r.t atomic distance

Summary

../../_images/fig_kappa10895.png

(a) Temperature-dependent lattice thermal conductivity

../../_images/fig_times23059.png

(b) Computation time