mp-18229-2/CaTa2O6/anharm

Equation of state

../../_images/fig_bm6912.png

(a) Equation of state

Harmonic properties

../../_images/fig_bandos_pr13814.png

(a) Phonon dispersion with participation ratio and DOS

../../_images/fig_thermo13814.png

(b) Thermodynamic properties

Grüneisen parameters

../../_images/fig_gru_all5825.png

(a) Grüneisen parameters

../../_images/fig_gruneisen5825.png

(b) Phonon dispersion with Grüneisen parameters

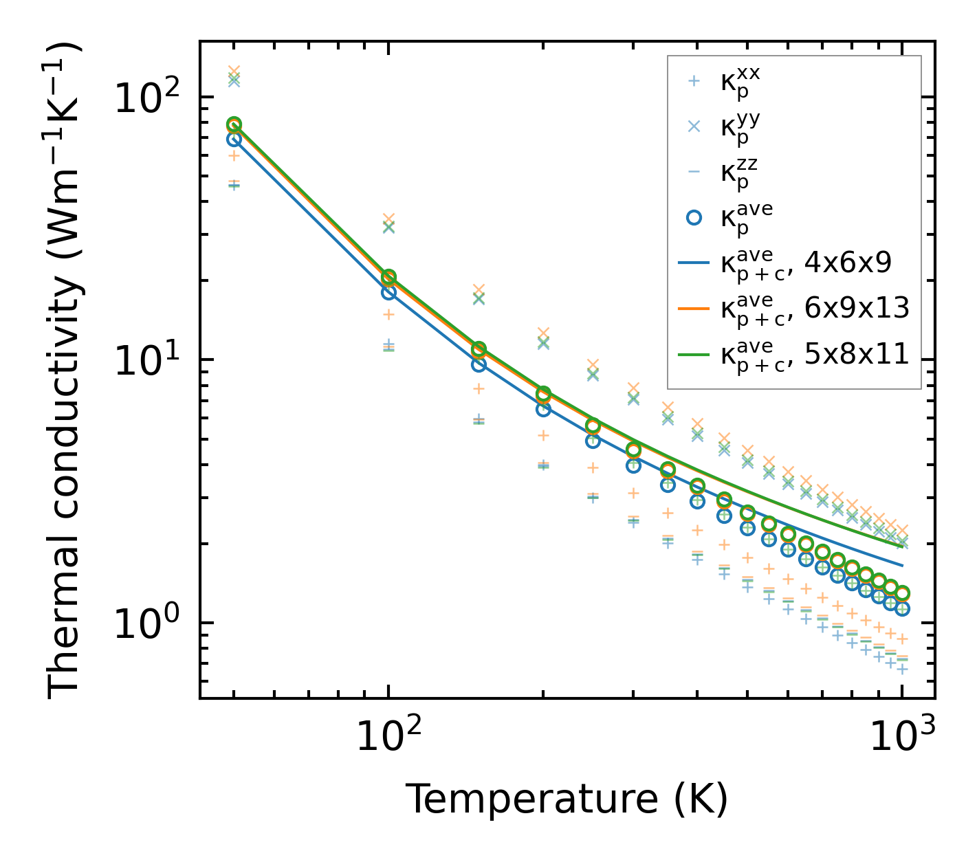
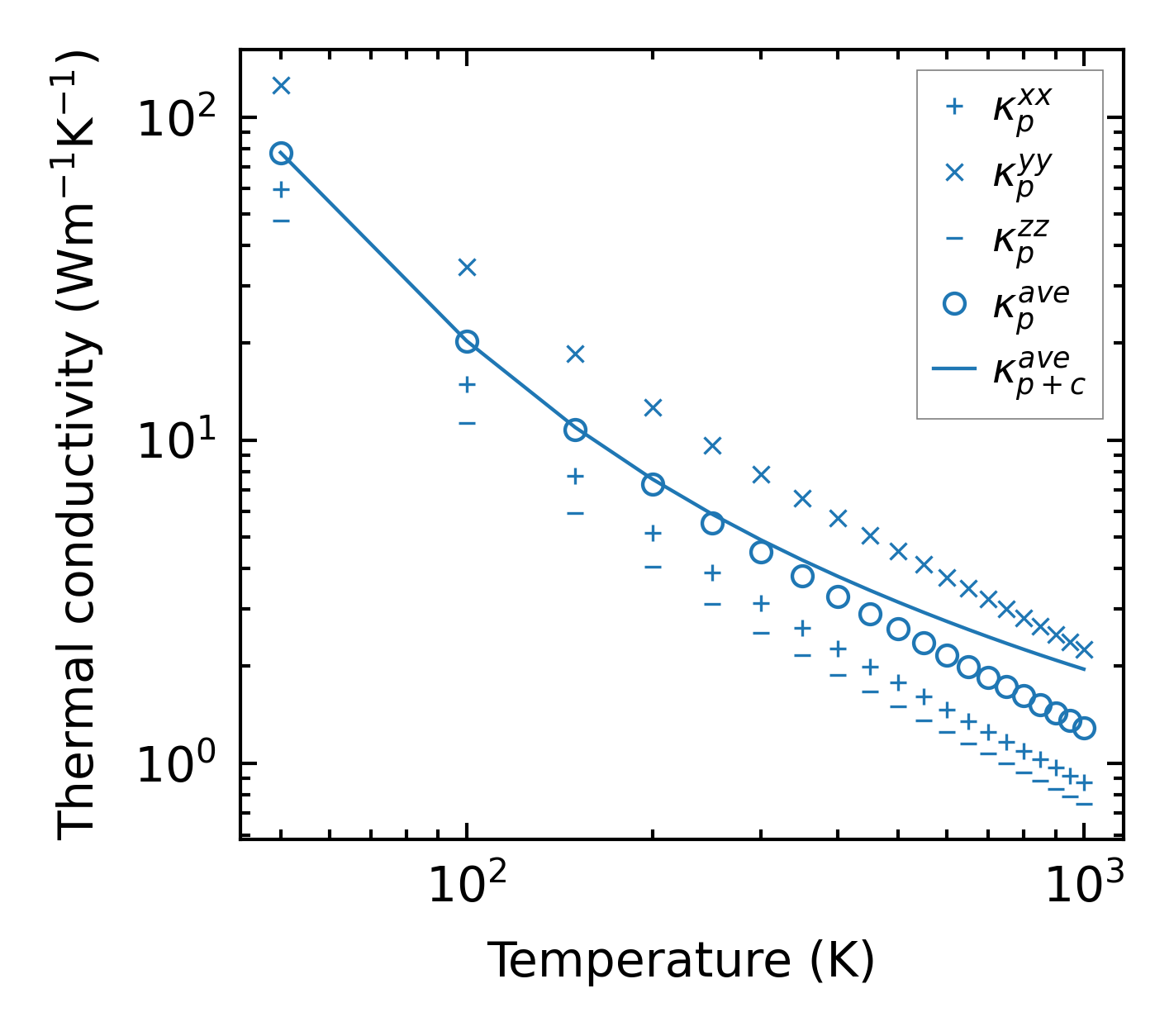
Thermal conductivity

3-phonon (LASSO) — q-mesh: 6x9x13, supercell: 1x2x2

../../_images/fig_kappa10955.png

(a) Temperature-dependent lattice thermal conductivity

../../_images/fig_kappa_vs_grain_size5897.png

(b) Peierls lattice thermal conductivity w.r.t grain size

Phonon lifetime and scattering rates

../../_images/fig_lifetime5769.png

(a) Phonon lifetime due to phonon-phonon scattering

../../_images/fig_scat_rates5768.png

(b) Phonon scattering rates

Cumulative and spectral thermal conductivity

../../_images/fig_cumu_frequency5769.png

(a) Spectral and cumulative thermal conductivity w.r.t frequency

../../_images/fig_cumu_mfp5768.png

(b) Spectral and cumulative thermal conductivity w.r.t MFP

Force constants

../../_images/fig_fc213442.png

(a) Force constants w.r.t atomic distance

Summary

../../_images/fig_kappa10956.png

(a) Temperature-dependent lattice thermal conductivity

../../_images/fig_times23169.png

(b) Computation time