mp-18010/Ta2Pd3Se8/anharm

Harmonic properties

../../_images/fig_bandos_pr13751.png

(a) Phonon dispersion with participation ratio and DOS

../../_images/fig_thermo13751.png

(b) Thermodynamic properties

Grüneisen parameters

../../_images/fig_gru_all5795.png

(a) Grüneisen parameters

../../_images/fig_gruneisen5795.png

(b) Phonon dispersion with Grüneisen parameters

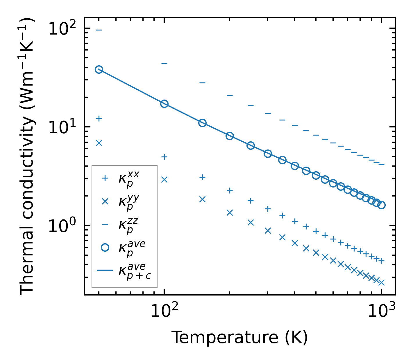
Thermal conductivity

3-phonon (LASSO) — q-mesh: 6x4x20, supercell: 1x1x4

../../_images/fig_kappa10896.png

(a) Temperature-dependent lattice thermal conductivity

../../_images/fig_kappa_vs_grain_size5865.png

(b) Peierls lattice thermal conductivity w.r.t grain size

Phonon lifetime and scattering rates

../../_images/fig_lifetime5739.png

(a) Phonon lifetime due to phonon-phonon scattering

../../_images/fig_scat_rates5738.png

(b) Phonon scattering rates

Cumulative and spectral thermal conductivity

../../_images/fig_cumu_frequency5739.png

(a) Spectral and cumulative thermal conductivity w.r.t frequency

../../_images/fig_cumu_mfp5738.png

(b) Spectral and cumulative thermal conductivity w.r.t MFP

Force constants

../../_images/fig_fc213379.png

(a) Force constants w.r.t atomic distance

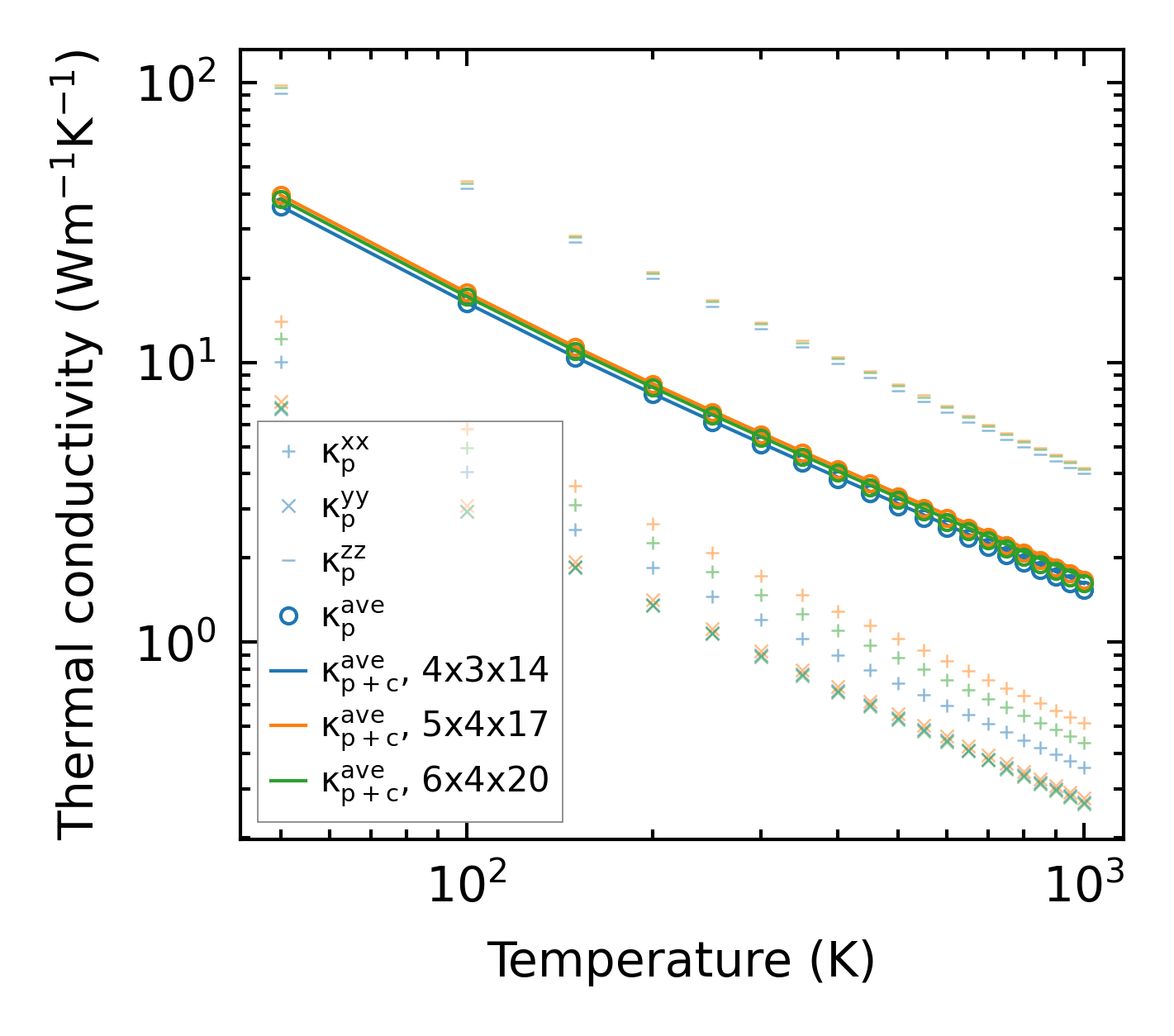
Summary

../../_images/fig_kappa10897.png

(a) Temperature-dependent lattice thermal conductivity

../../_images/fig_times23060.png

(b) Computation time