mp-18100-2/Na6Ge2Se7/anharm

Equation of state

../../_images/fig_bm6880.png

(a) Equation of state

Harmonic properties

../../_images/fig_bandos_pr13771.png

(a) Phonon dispersion with participation ratio and DOS

../../_images/fig_thermo13771.png

(b) Thermodynamic properties

Grüneisen parameters

../../_images/fig_gru_all5804.png

(a) Grüneisen parameters

../../_images/fig_gruneisen5804.png

(b) Phonon dispersion with Grüneisen parameters

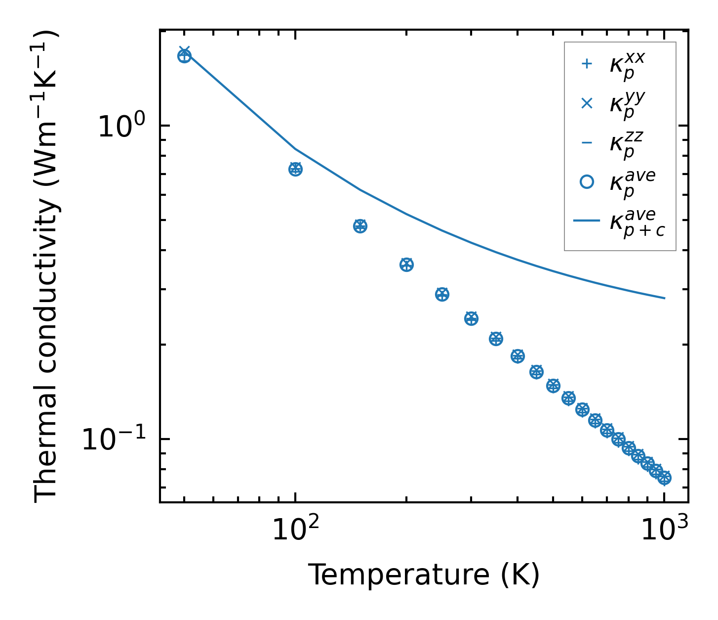
Thermal conductivity

3-phonon (LASSO) — q-mesh: 10x10x4, supercell: 2x1x1

../../_images/fig_kappa10913.png

(a) Temperature-dependent lattice thermal conductivity

../../_images/fig_kappa_vs_grain_size5874.png

(b) Peierls lattice thermal conductivity w.r.t grain size

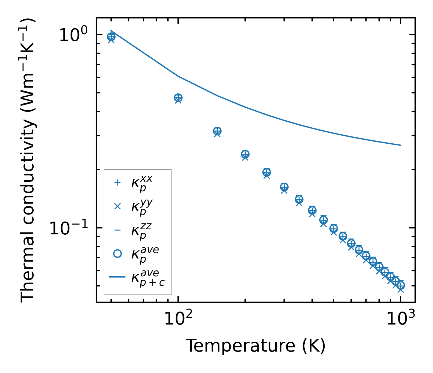
3-phonon (LASSO), supercell 2x2x1 — q-mesh: 10x10x4, supercell: 2x2x1

../../_images/fig_kappa10914.png

(a) Temperature-dependent lattice thermal conductivity

../../_images/fig_kappa_vs_grain_size5875.png

(b) Peierls lattice thermal conductivity w.r.t grain size

Phonon lifetime and scattering rates

../../_images/fig_lifetime5748.png

(a) Phonon lifetime due to phonon-phonon scattering

../../_images/fig_scat_rates5747.png

(b) Phonon scattering rates

Cumulative and spectral thermal conductivity

../../_images/fig_cumu_frequency5748.png

(a) Spectral and cumulative thermal conductivity w.r.t frequency

../../_images/fig_cumu_mfp5747.png

(b) Spectral and cumulative thermal conductivity w.r.t MFP

Force constants

../../_images/fig_fc213399.png

(a) Force constants w.r.t atomic distance

Summary

../../_images/fig_kappa10915.png

(a) Temperature-dependent lattice thermal conductivity

../../_images/fig_times23095.png

(b) Computation time