mp-18975-2/Na2SrV4O12/anharm

Equation of state

../../_images/fig_bm6819.png

(a) Equation of state

Harmonic properties

../../_images/fig_bandos_pr13654.png

(a) Phonon dispersion with participation ratio and DOS

../../_images/fig_bandos18024.png

(b) Phonon dispersion and DOS

../../_images/fig_thermo13654.png

(c) Thermodynamic properties

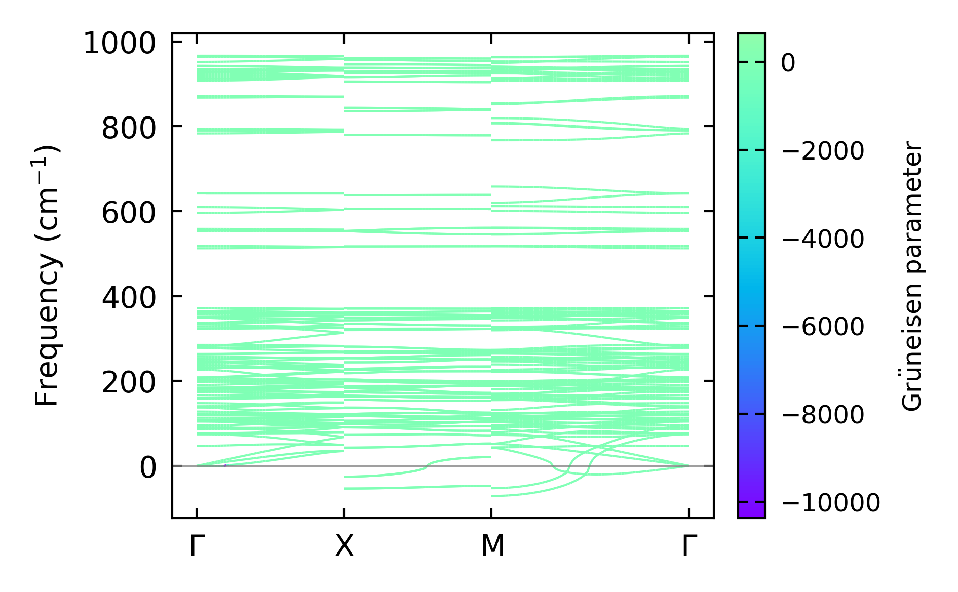
Grüneisen parameters

../../_images/fig_gru_all5765.png

(a) Grüneisen parameters

../../_images/fig_gruneisen5765.png

(b) Phonon dispersion with Grüneisen parameters

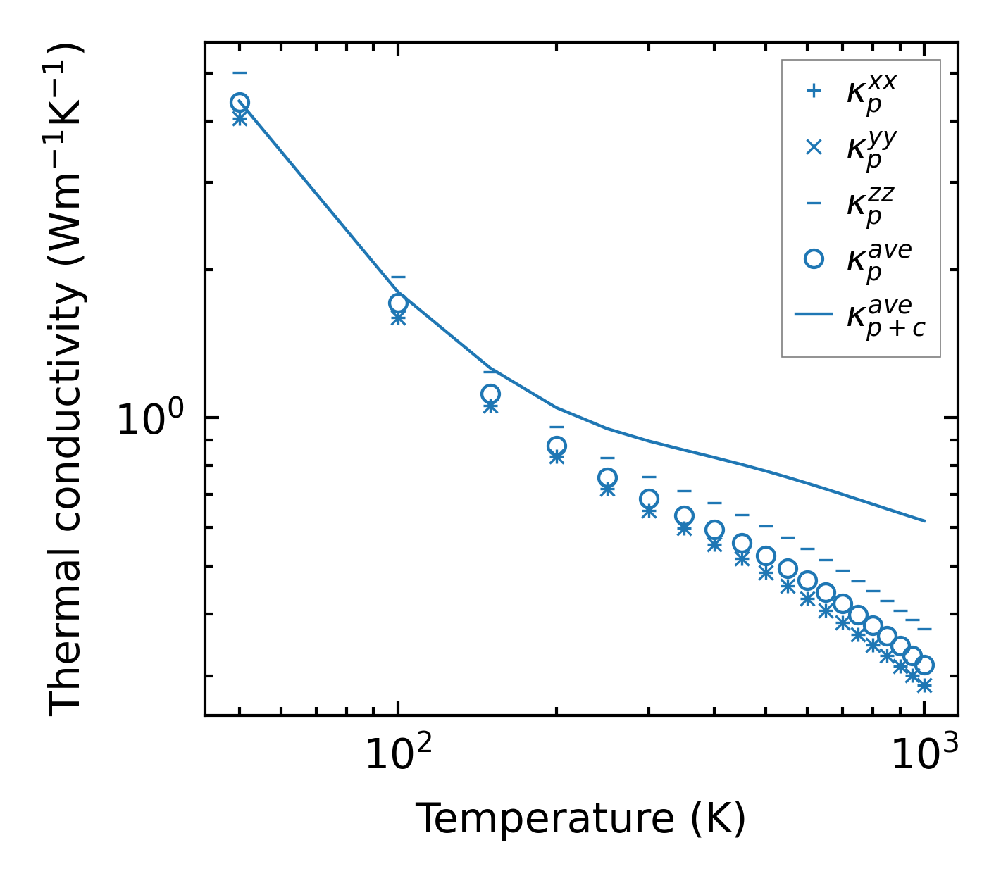
Thermal conductivity

3-phonon (LASSO), supercell 2x2x3 — q-mesh: 6x6x14, supercell: 2x2x3

../../_images/fig_kappa10843.png

(a) Temperature-dependent lattice thermal conductivity

../../_images/fig_kappa_vs_grain_size5836.png

(b) Peierls lattice thermal conductivity w.r.t grain size

Phonon lifetime and scattering rates

../../_images/fig_lifetime5710.png

(a) Phonon lifetime due to phonon-phonon scattering

../../_images/fig_scat_rates5709.png

(b) Phonon scattering rates

Cumulative and spectral thermal conductivity

../../_images/fig_cumu_frequency5710.png

(a) Spectral and cumulative thermal conductivity w.r.t frequency

../../_images/fig_cumu_mfp5709.png

(b) Spectral and cumulative thermal conductivity w.r.t MFP

Force constants

../../_images/fig_fc213282.png

(a) Force constants w.r.t atomic distance

Summary

../../_images/fig_times22930.png

(a) Computation time