mp-18670/Ca5Sn2As6/anharm

Harmonic properties

../../_images/fig_bandos_pr13582.png

(a) Phonon dispersion with participation ratio and DOS

../../_images/fig_thermo13582.png

(b) Thermodynamic properties

Grüneisen parameters

../../_images/fig_gru_all5749.png

(a) Grüneisen parameters

../../_images/fig_gruneisen5749.png

(b) Phonon dispersion with Grüneisen parameters

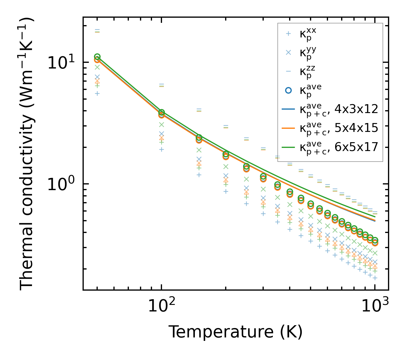
Thermal conductivity

3-phonon (LASSO) — q-mesh: 6x5x17, supercell: 1x1x3

../../_images/fig_kappa10810.png

(a) Temperature-dependent lattice thermal conductivity

../../_images/fig_kappa_vs_grain_size5819.png

(b) Peierls lattice thermal conductivity w.r.t grain size

Phonon lifetime and scattering rates

../../_images/fig_lifetime5694.png

(a) Phonon lifetime due to phonon-phonon scattering

../../_images/fig_scat_rates5693.png

(b) Phonon scattering rates

Cumulative and spectral thermal conductivity

../../_images/fig_cumu_frequency5694.png

(a) Spectral and cumulative thermal conductivity w.r.t frequency

../../_images/fig_cumu_mfp5693.png

(b) Spectral and cumulative thermal conductivity w.r.t MFP

Force constants

../../_images/fig_fc213210.png

(a) Force constants w.r.t atomic distance

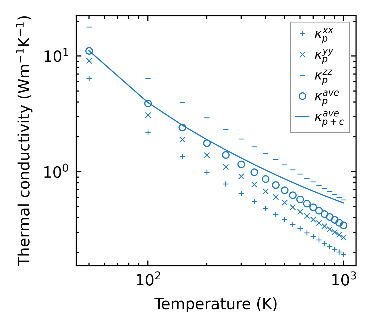
Summary

../../_images/fig_kappa10811.png

(a) Temperature-dependent lattice thermal conductivity

../../_images/fig_times22833.png

(b) Computation time