mp-18305/Rb3AsSe4/anharm

Harmonic properties

../../_images/fig_bandos_pr13832.png

(a) Phonon dispersion with participation ratio and DOS

../../_images/fig_thermo13832.png

(b) Thermodynamic properties

Grüneisen parameters

../../_images/fig_gru_all5837.png

(a) Grüneisen parameters

../../_images/fig_gruneisen5837.png

(b) Phonon dispersion with Grüneisen parameters

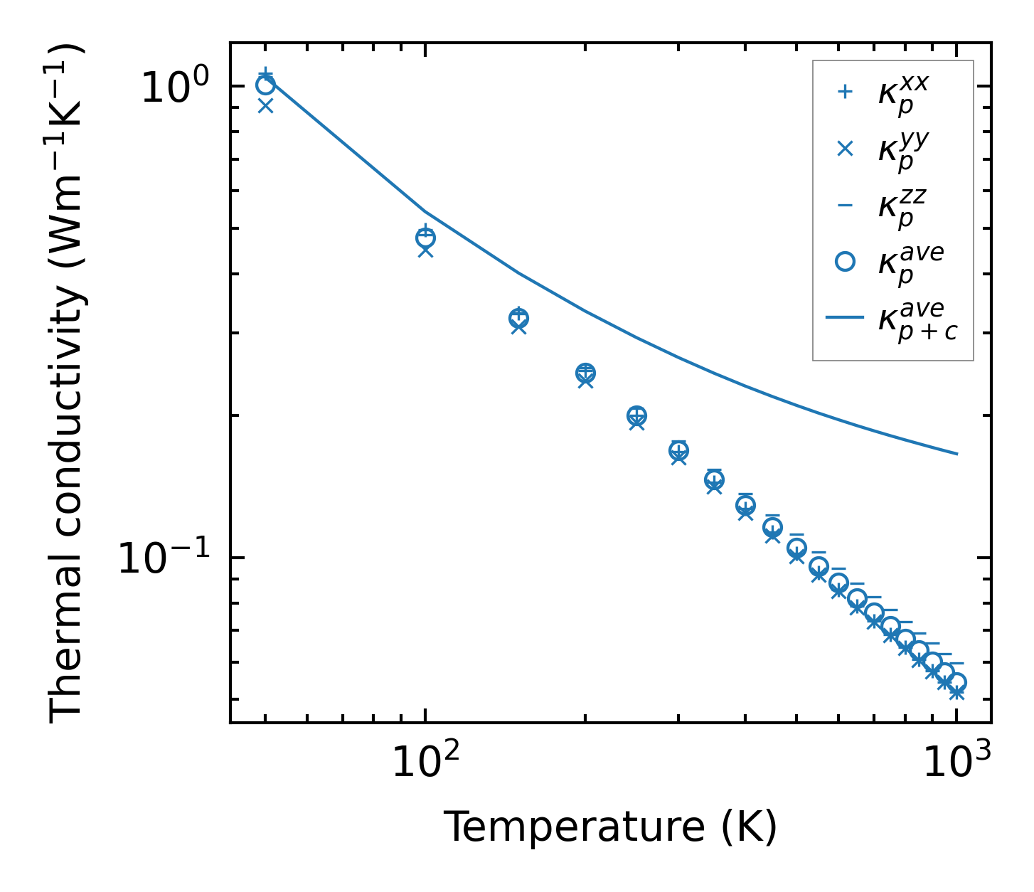
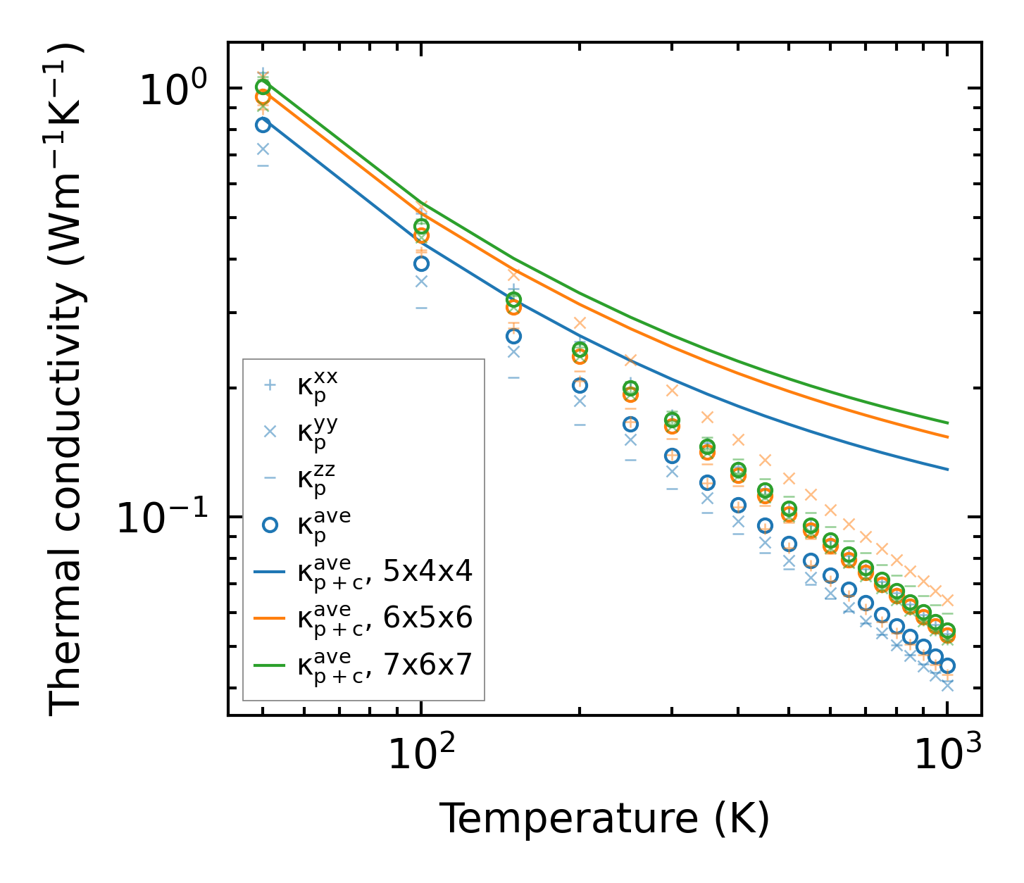
Thermal conductivity

3-phonon (LASSO) — q-mesh: 7x6x7, supercell: 2x1x2

../../_images/fig_kappa10978.png

(a) Temperature-dependent lattice thermal conductivity

../../_images/fig_kappa_vs_grain_size5910.png

(b) Peierls lattice thermal conductivity w.r.t grain size

Phonon lifetime and scattering rates

../../_images/fig_lifetime5780.png

(a) Phonon lifetime due to phonon-phonon scattering

../../_images/fig_scat_rates5779.png

(b) Phonon scattering rates

Cumulative and spectral thermal conductivity

../../_images/fig_cumu_frequency5780.png

(a) Spectral and cumulative thermal conductivity w.r.t frequency

../../_images/fig_cumu_mfp5779.png

(b) Spectral and cumulative thermal conductivity w.r.t MFP

Force constants

../../_images/fig_fc213460.png

(a) Force constants w.r.t atomic distance

Summary

../../_images/fig_kappa10979.png

(a) Temperature-dependent lattice thermal conductivity

../../_images/fig_times23199.png

(b) Computation time