mp-18651/Sr3DyRhO6/anharm

Harmonic properties

../../_images/fig_bandos_pr13576.png

(a) Phonon dispersion with participation ratio and DOS

../../_images/fig_thermo13576.png

(b) Thermodynamic properties

Grüneisen parameters

../../_images/fig_gru_all5745.png

(a) Grüneisen parameters

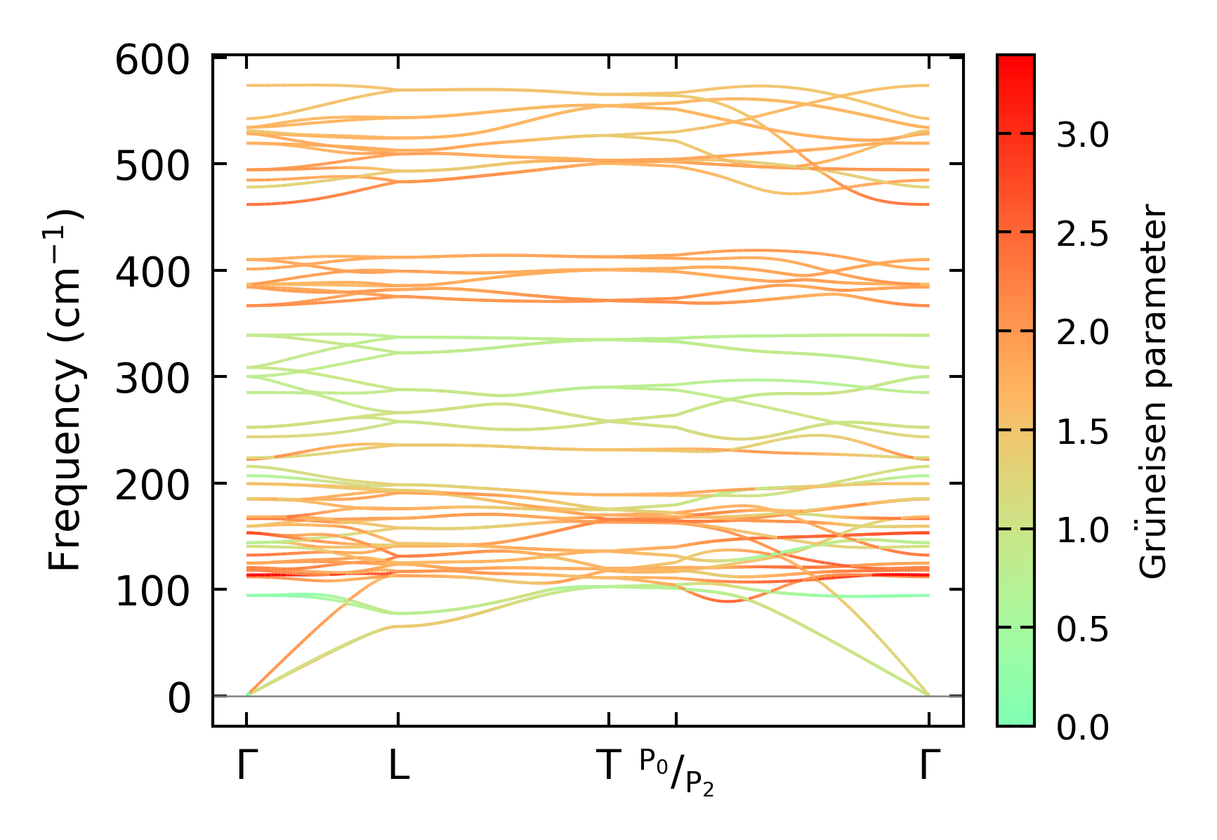
../../_images/fig_gruneisen5745.png

(b) Phonon dispersion with Grüneisen parameters

Thermal conductivity

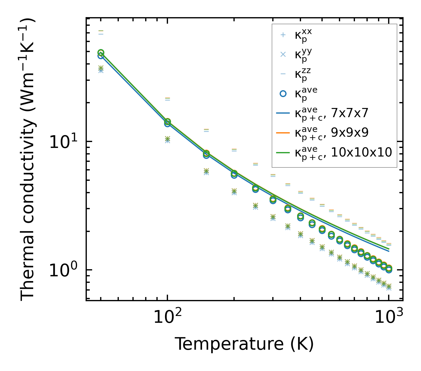
3-phonon (LASSO) — q-mesh: 10x10x10, supercell: 1x1x1

../../_images/fig_kappa10802.png

(a) Temperature-dependent lattice thermal conductivity

../../_images/fig_kappa_vs_grain_size5815.png

(b) Peierls lattice thermal conductivity w.r.t grain size

Phonon lifetime and scattering rates

../../_images/fig_lifetime5690.png

(a) Phonon lifetime due to phonon-phonon scattering

../../_images/fig_scat_rates5689.png

(b) Phonon scattering rates

Cumulative and spectral thermal conductivity

../../_images/fig_cumu_frequency5690.png

(a) Spectral and cumulative thermal conductivity w.r.t frequency

../../_images/fig_cumu_mfp5689.png

(b) Spectral and cumulative thermal conductivity w.r.t MFP

Force constants

../../_images/fig_fc213204.png

(a) Force constants w.r.t atomic distance

Summary

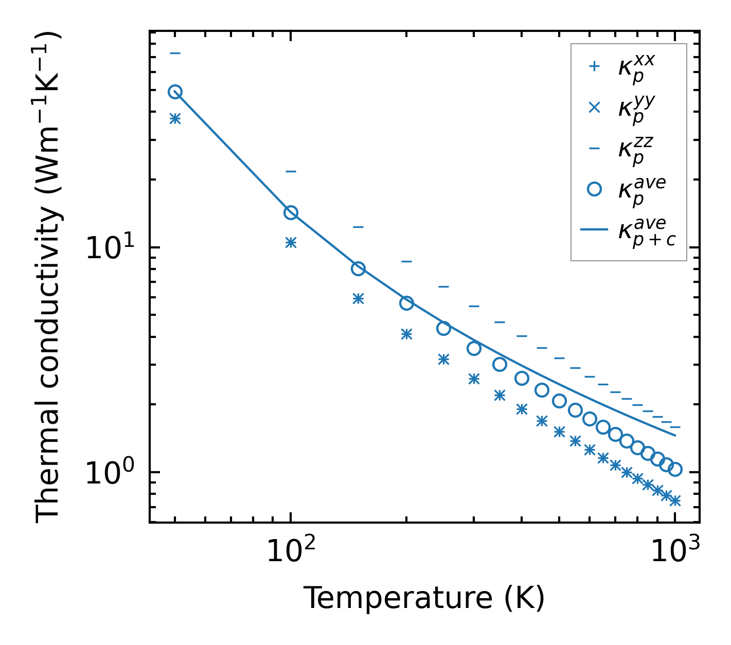
../../_images/fig_kappa10803.png

(a) Temperature-dependent lattice thermal conductivity

../../_images/fig_times22824.png

(b) Computation time