mp-18903/Sr2CdWO6/harm

Equation of state

../../_images/fig_bm6811.png

(a) Equation of state

Harmonic properties

../../_images/fig_bandos_pr13637.png

(a) Phonon dispersion with participation ratio and DOS

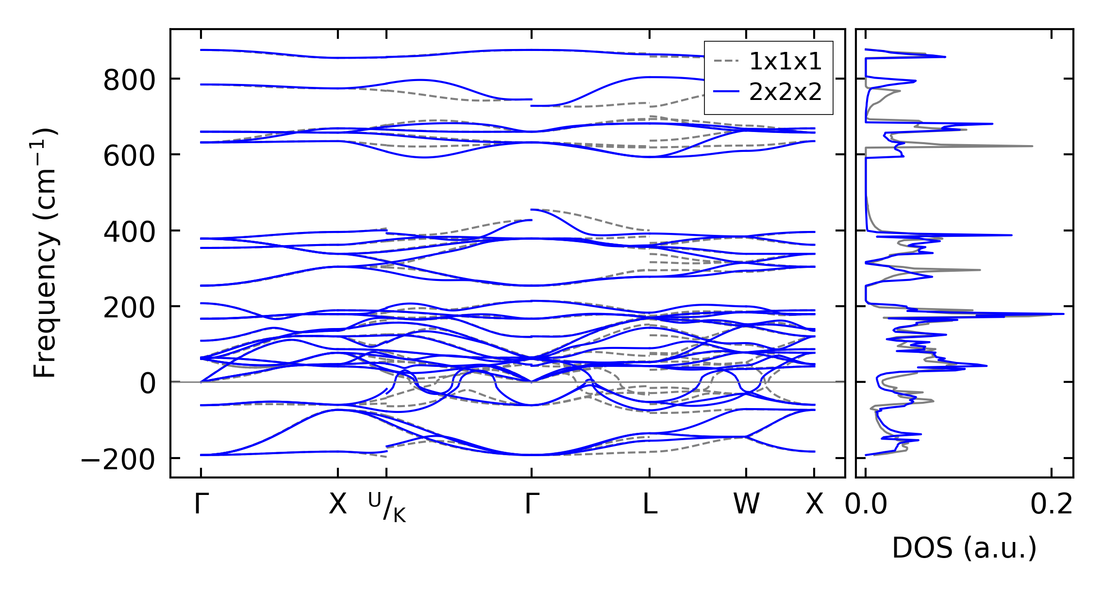
../../_images/fig_bandos18003.png

(b) Phonon dispersion and DOS

../../_images/fig_thermo13637.png

(c) Thermodynamic properties

Force constants

../../_images/fig_fc213265.png

(a) Force constants w.r.t atomic distance

Summary

../../_images/fig_times22906.png

(a) Computation time