mp-18612/Rb2MoS4/anharm

Harmonic properties

../../_images/fig_bandos_pr13568.png

(a) Phonon dispersion with participation ratio and DOS

../../_images/fig_thermo13568.png

(b) Thermodynamic properties

Grüneisen parameters

../../_images/fig_gru_all5740.png

(a) Grüneisen parameters

../../_images/fig_gruneisen5740.png

(b) Phonon dispersion with Grüneisen parameters

Thermal conductivity

3-phonon (LASSO) — q-mesh: 7x10x5, supercell: 2x2x1

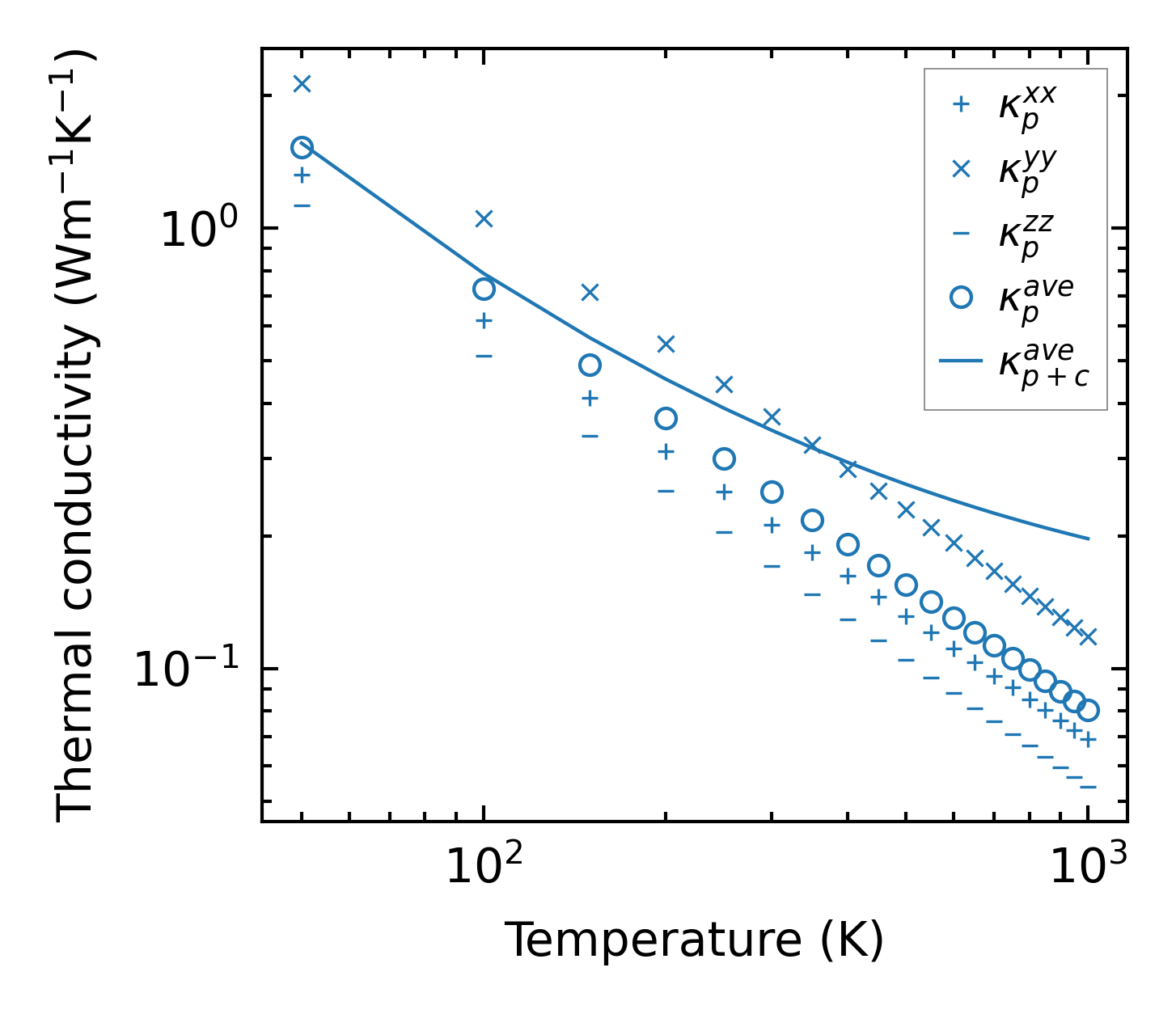
../../_images/fig_kappa10792.png

(a) Temperature-dependent lattice thermal conductivity

../../_images/fig_kappa_vs_grain_size5809.png

(b) Peierls lattice thermal conductivity w.r.t grain size

Phonon lifetime and scattering rates

../../_images/fig_lifetime5685.png

(a) Phonon lifetime due to phonon-phonon scattering

../../_images/fig_scat_rates5684.png

(b) Phonon scattering rates

Cumulative and spectral thermal conductivity

../../_images/fig_cumu_frequency5685.png

(a) Spectral and cumulative thermal conductivity w.r.t frequency

../../_images/fig_cumu_mfp5684.png

(b) Spectral and cumulative thermal conductivity w.r.t MFP

Force constants

../../_images/fig_fc213196.png

(a) Force constants w.r.t atomic distance

Summary

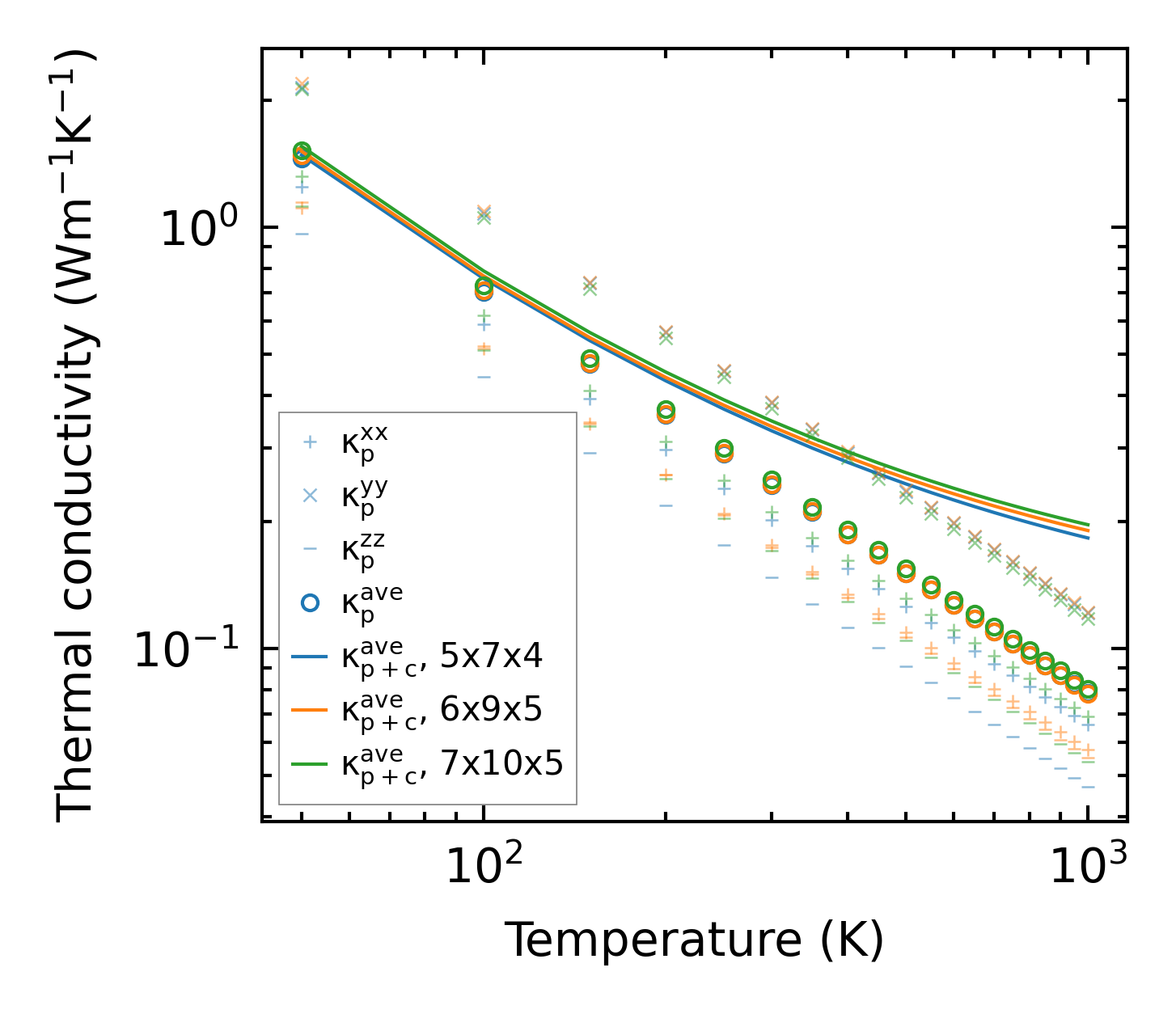
../../_images/fig_kappa10793.png

(a) Temperature-dependent lattice thermal conductivity

../../_images/fig_times22812.png

(b) Computation time