mp-18889-2/VAg3O4/harm

Harmonic properties

../../_images/fig_bandos_pr13635.png

(a) Phonon dispersion with participation ratio and DOS

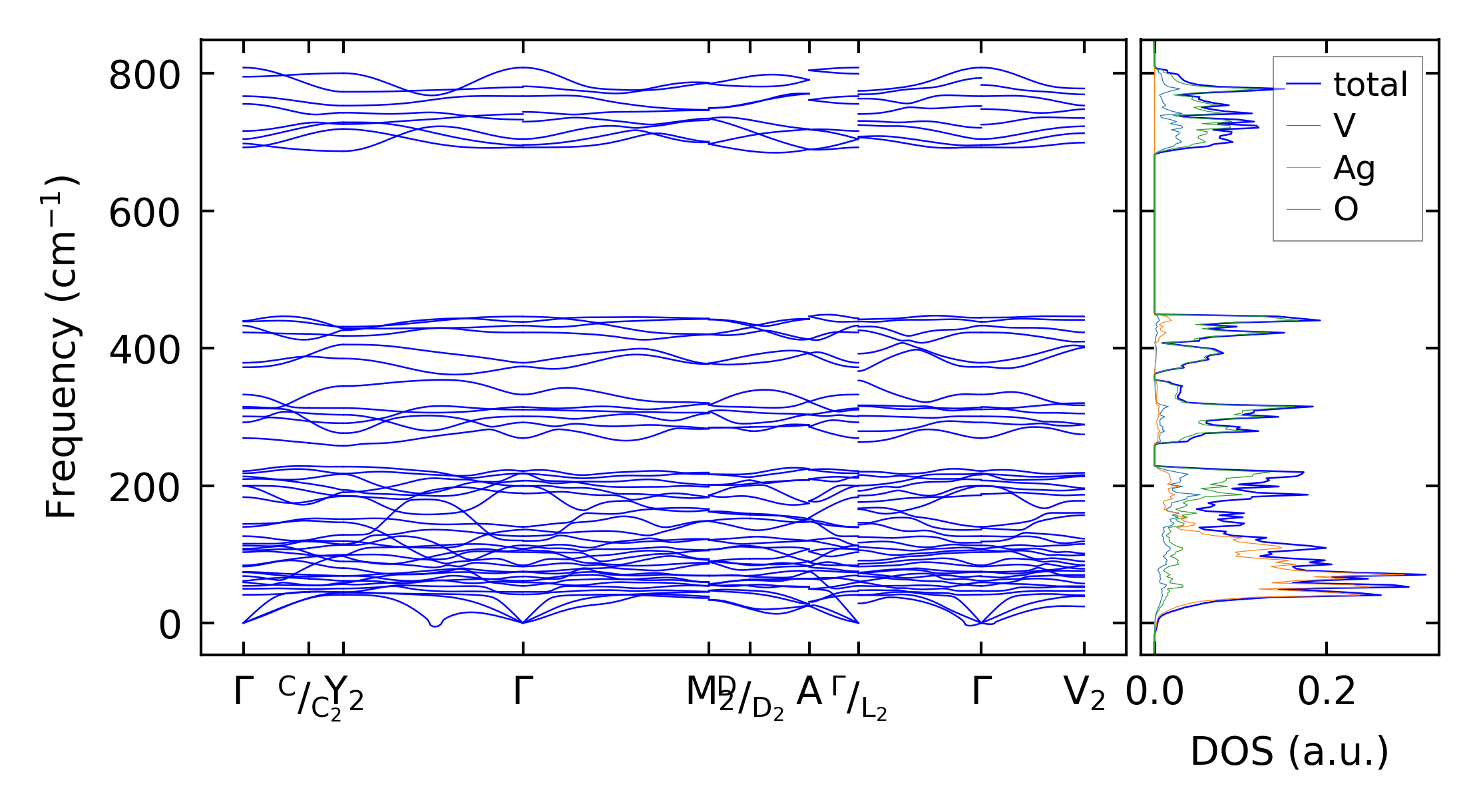
../../_images/fig_bandos17996.png

(b) Phonon dispersion and DOS

../../_images/fig_thermo13635.png

(c) Thermodynamic properties

Force constants

../../_images/fig_fc213263.png

(a) Force constants w.r.t atomic distance

Summary

../../_images/fig_times22899.png

(a) Computation time