mp-18527-2/CsMoPO6/harm

Harmonic properties

../../_images/fig_bandos_pr13906.png

(a) Phonon dispersion with participation ratio and DOS

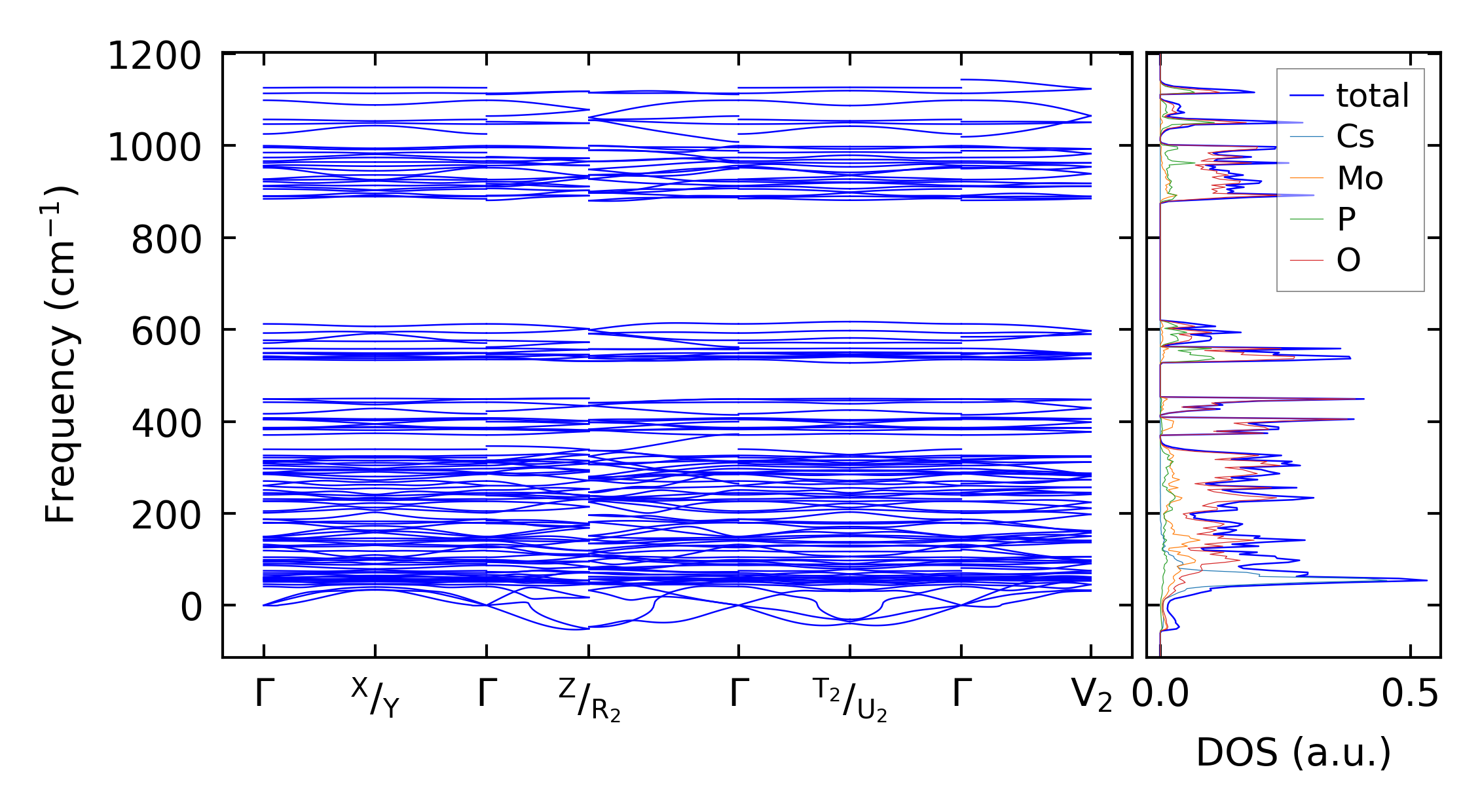
../../_images/fig_bandos18305.png

(b) Phonon dispersion and DOS

../../_images/fig_thermo13906.png

(c) Thermodynamic properties

Force constants

../../_images/fig_fc213534.png

(a) Force constants w.r.t atomic distance

Summary

../../_images/fig_times23307.png

(a) Computation time