mp-18006/Rb2Cu2SnS4/anharm

Harmonic properties

../../_images/fig_bandos_pr13749.png

(a) Phonon dispersion with participation ratio and DOS

../../_images/fig_thermo13749.png

(b) Thermodynamic properties

Grüneisen parameters

../../_images/fig_gru_all5793.png

(a) Grüneisen parameters

../../_images/fig_gruneisen5793.png

(b) Phonon dispersion with Grüneisen parameters

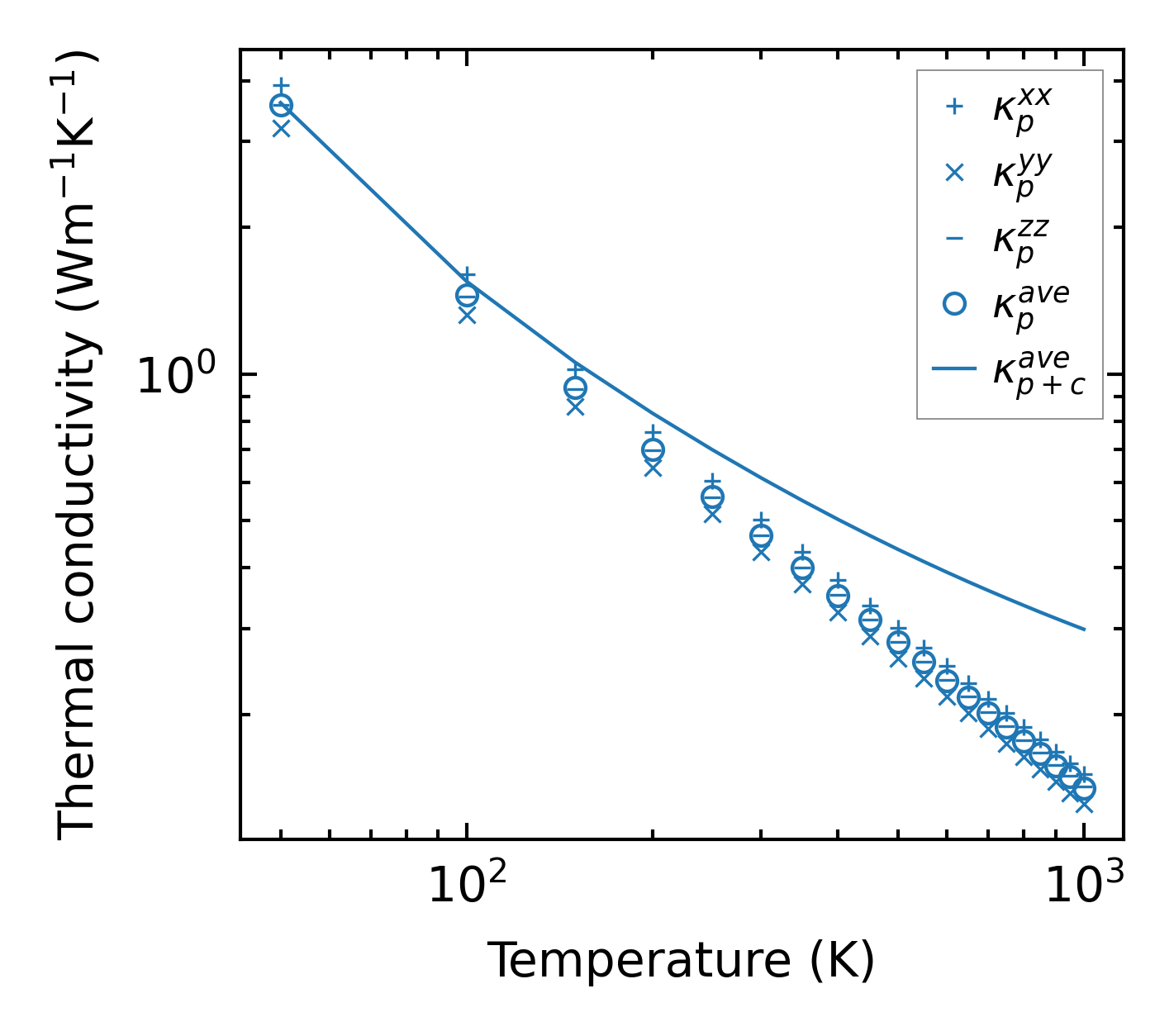
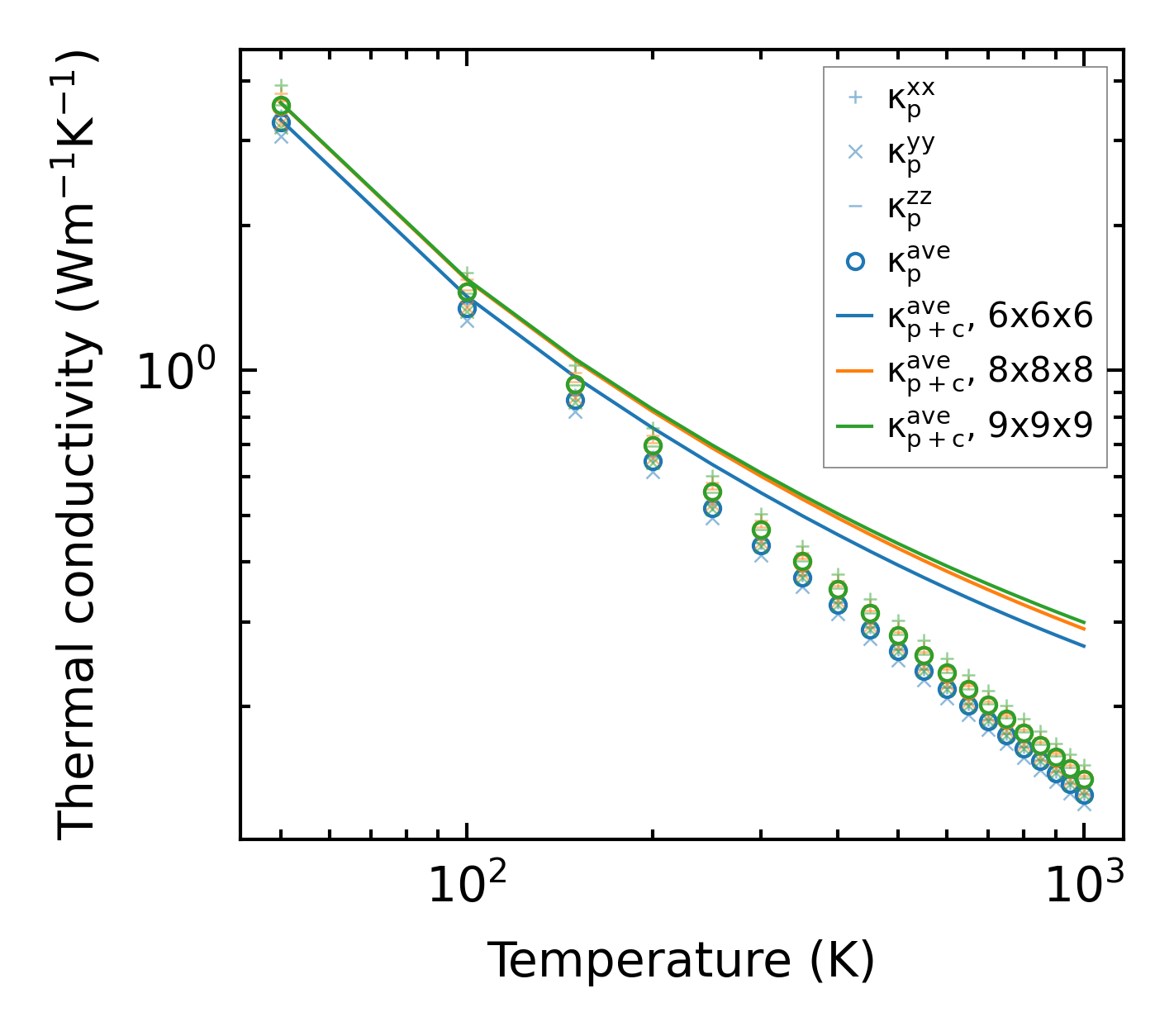
Thermal conductivity

3-phonon (LASSO) — q-mesh: 9x9x9, supercell: 3x1x1

../../_images/fig_kappa10892.png

(a) Temperature-dependent lattice thermal conductivity

../../_images/fig_kappa_vs_grain_size5863.png

(b) Peierls lattice thermal conductivity w.r.t grain size

Phonon lifetime and scattering rates

../../_images/fig_lifetime5737.png

(a) Phonon lifetime due to phonon-phonon scattering

../../_images/fig_scat_rates5736.png

(b) Phonon scattering rates

Cumulative and spectral thermal conductivity

../../_images/fig_cumu_frequency5737.png

(a) Spectral and cumulative thermal conductivity w.r.t frequency

../../_images/fig_cumu_mfp5736.png

(b) Spectral and cumulative thermal conductivity w.r.t MFP

Force constants

../../_images/fig_fc213377.png

(a) Force constants w.r.t atomic distance

Summary

../../_images/fig_kappa10893.png

(a) Temperature-dependent lattice thermal conductivity

../../_images/fig_times23058.png

(b) Computation time