mp-18705/Sr3TbRhO6/anharm

Harmonic properties

../../_images/fig_bandos_pr13591.png

(a) Phonon dispersion with participation ratio and DOS

../../_images/fig_thermo13591.png

(b) Thermodynamic properties

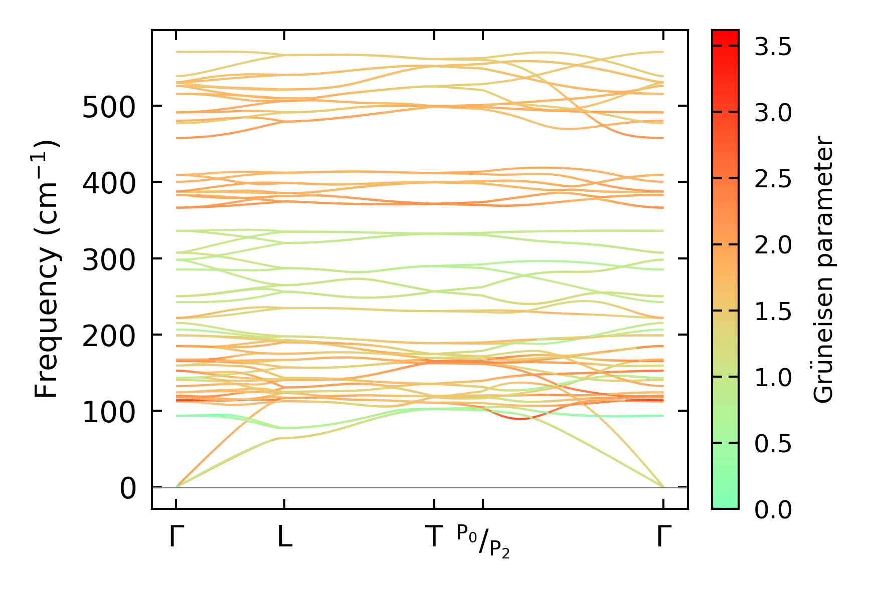
Grüneisen parameters

../../_images/fig_gru_all5750.png

(a) Grüneisen parameters

../../_images/fig_gruneisen5750.png

(b) Phonon dispersion with Grüneisen parameters

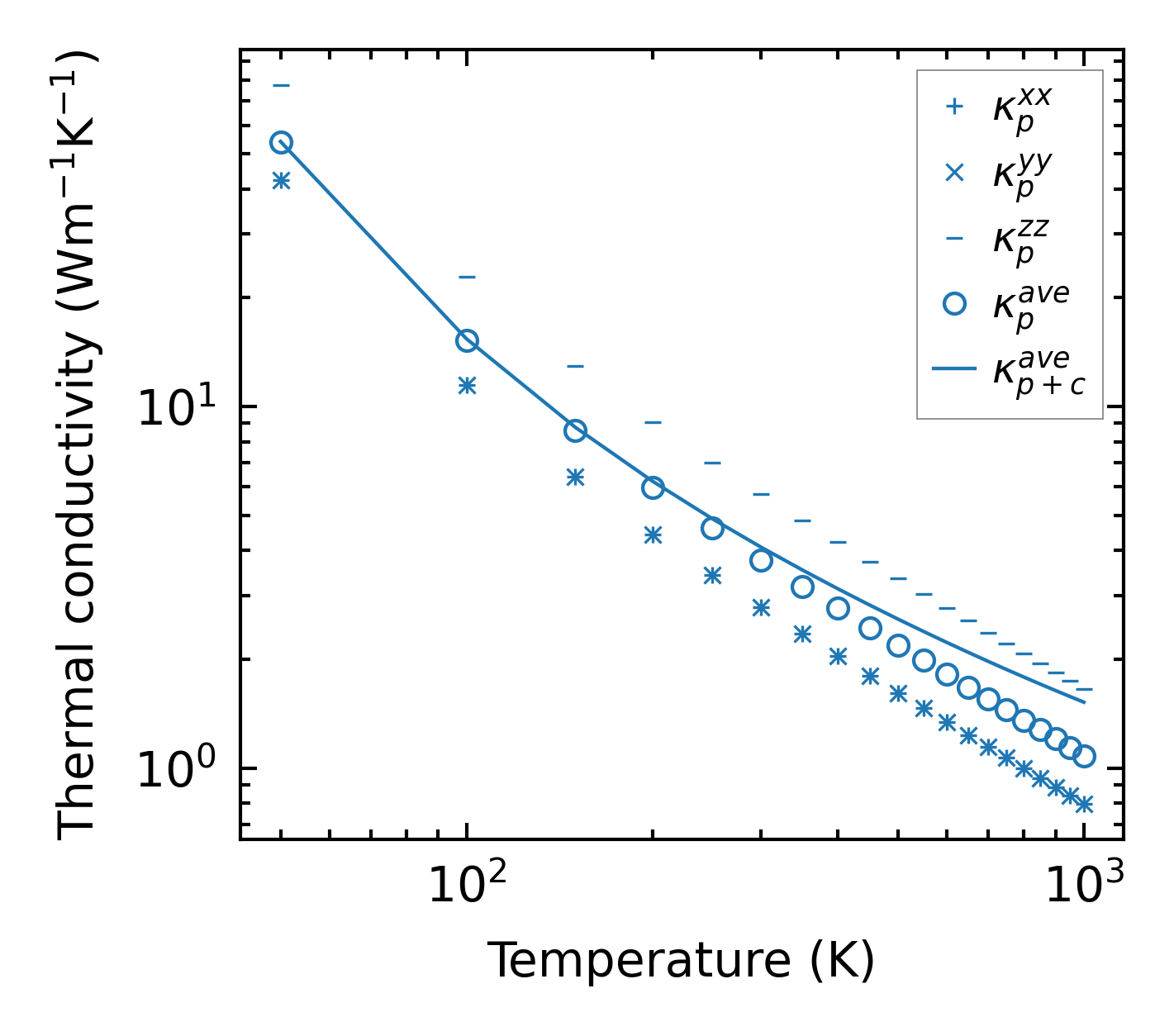
Thermal conductivity

3-phonon (LASSO) — q-mesh: 10x10x10, supercell: 1x1x1

../../_images/fig_kappa10812.png

(a) Temperature-dependent lattice thermal conductivity

../../_images/fig_kappa_vs_grain_size5820.png

(b) Peierls lattice thermal conductivity w.r.t grain size

Phonon lifetime and scattering rates

../../_images/fig_lifetime5695.png

(a) Phonon lifetime due to phonon-phonon scattering

../../_images/fig_scat_rates5694.png

(b) Phonon scattering rates

Cumulative and spectral thermal conductivity

../../_images/fig_cumu_frequency5695.png

(a) Spectral and cumulative thermal conductivity w.r.t frequency

../../_images/fig_cumu_mfp5694.png

(b) Spectral and cumulative thermal conductivity w.r.t MFP

Force constants

../../_images/fig_fc213219.png

(a) Force constants w.r.t atomic distance

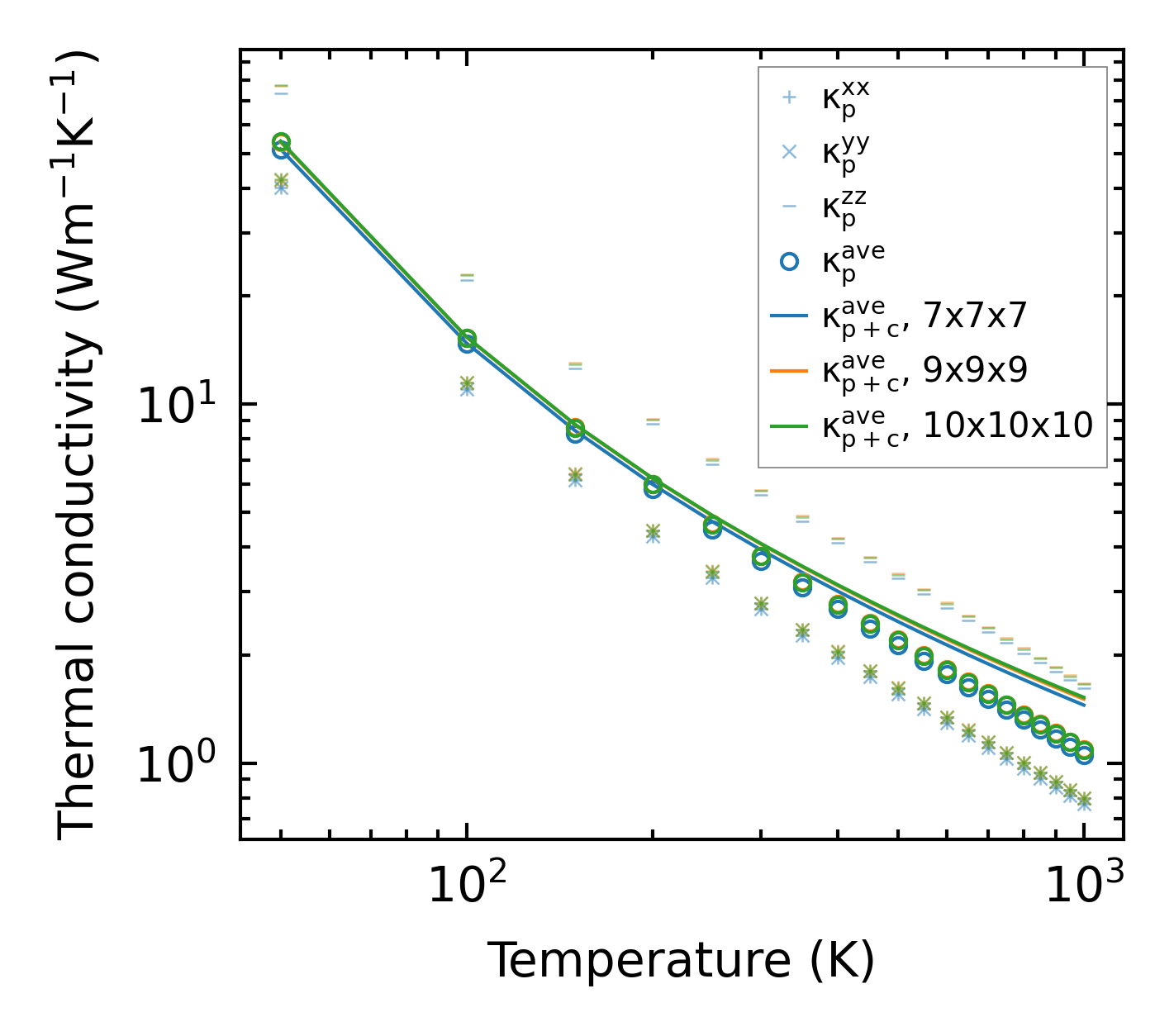
Summary

../../_images/fig_kappa10813.png

(a) Temperature-dependent lattice thermal conductivity

../../_images/fig_times22846.png

(b) Computation time