mp-18981/Sr2CaWO6/harm

Equation of state

../../_images/fig_bm6821.png

(a) Equation of state

Harmonic properties

../../_images/fig_bandos_pr13657.png

(a) Phonon dispersion with participation ratio and DOS

../../_images/fig_bandos18027.png

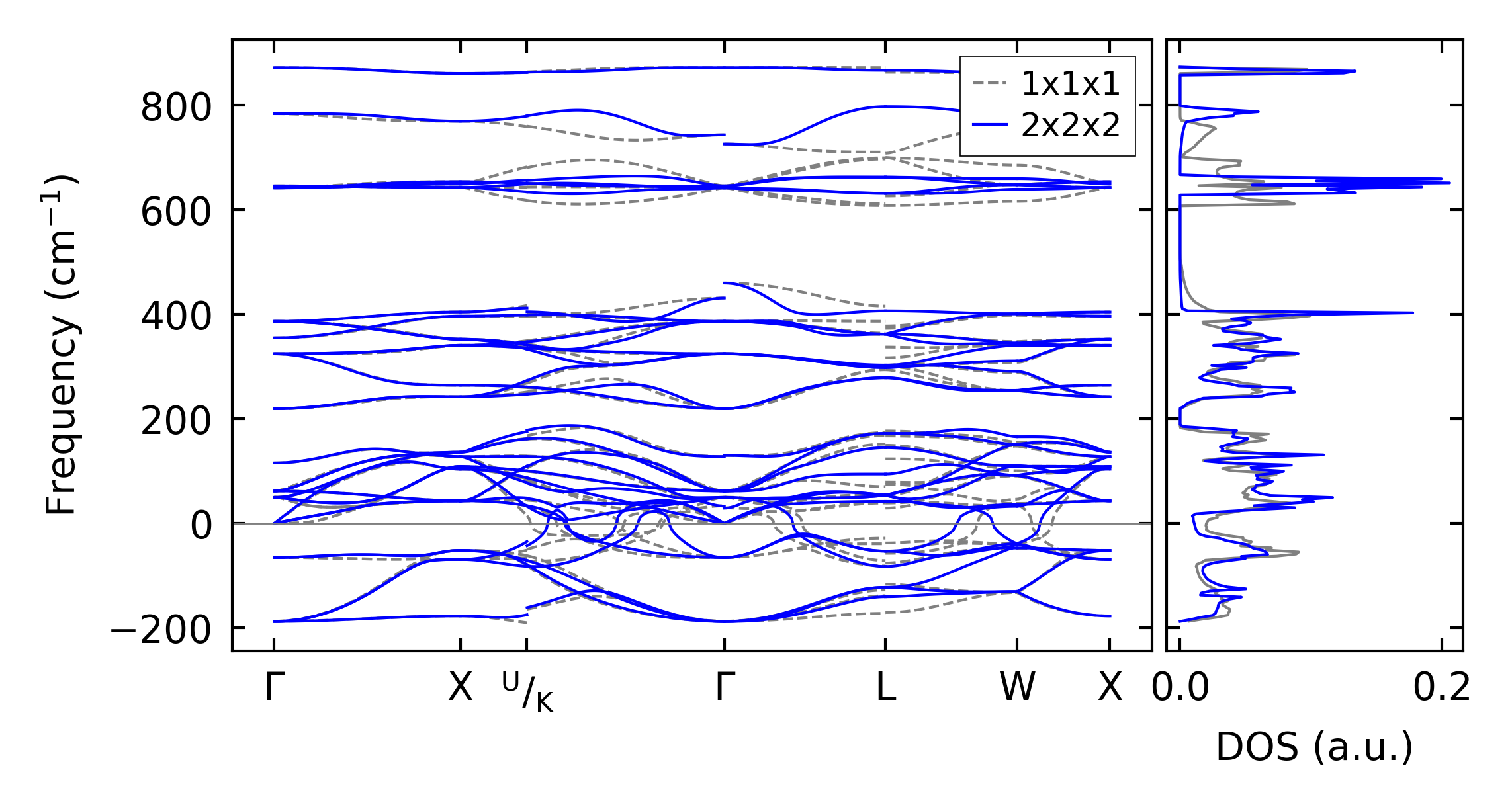
(b) Phonon dispersion and DOS

../../_images/fig_thermo13657.png

(c) Thermodynamic properties

Force constants

../../_images/fig_fc213285.png

(a) Force constants w.r.t atomic distance

Summary

../../_images/fig_times22933.png

(a) Computation time