mp-18994/CsMnO4/anharm

Harmonic properties

../../_images/fig_bandos_pr13661.png

(a) Phonon dispersion with participation ratio and DOS

../../_images/fig_thermo13661.png

(b) Thermodynamic properties

Grüneisen parameters

../../_images/fig_gru_all5767.png

(a) Grüneisen parameters

../../_images/fig_gruneisen5767.png

(b) Phonon dispersion with Grüneisen parameters

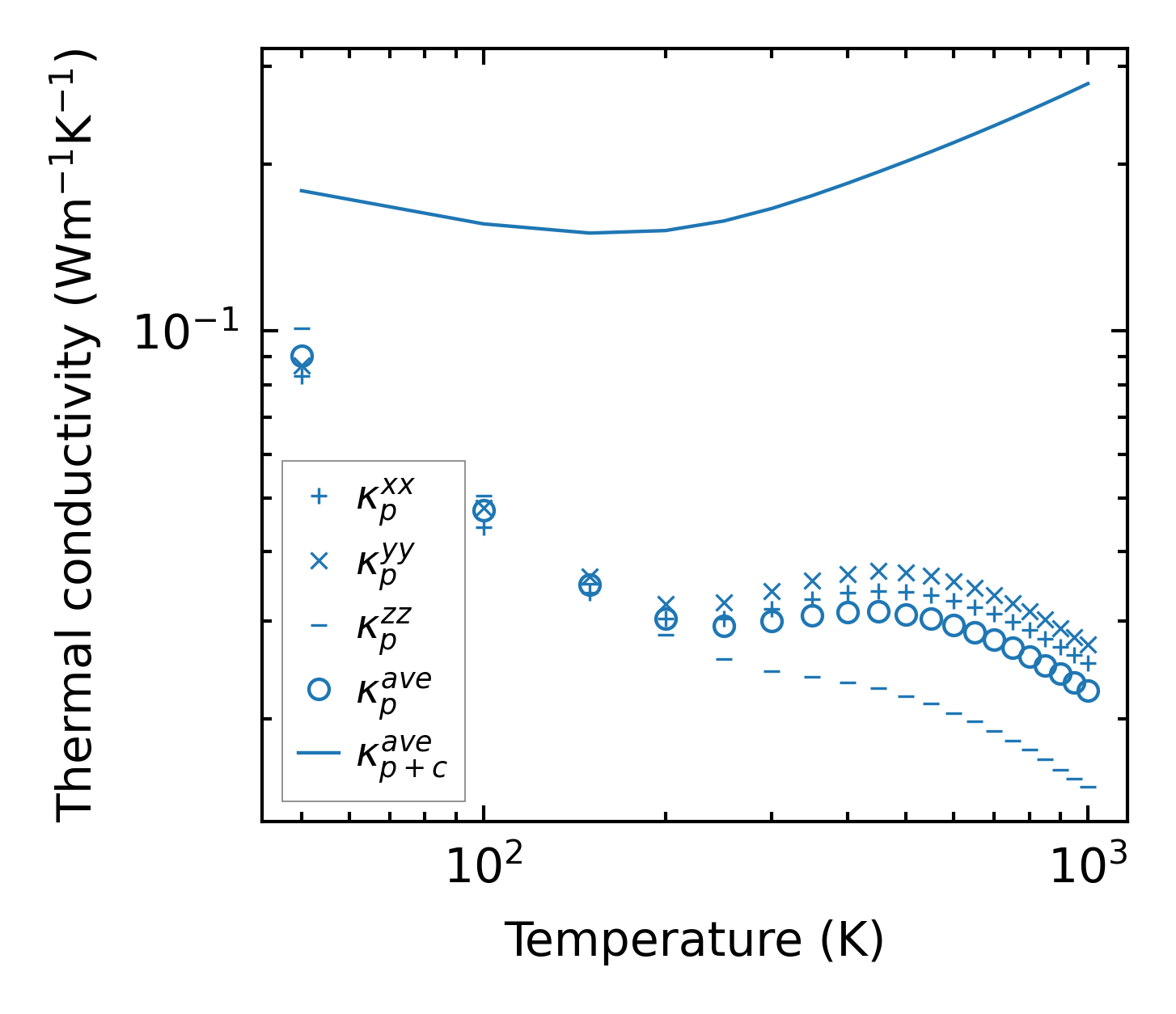
Thermal conductivity

3-phonon (LASSO) — q-mesh: 7x12x9, supercell: 1x2x2

../../_images/fig_kappa10846.png

(a) Temperature-dependent lattice thermal conductivity

../../_images/fig_kappa_vs_grain_size5838.png

(b) Peierls lattice thermal conductivity w.r.t grain size

Phonon lifetime and scattering rates

../../_images/fig_lifetime5712.png

(a) Phonon lifetime due to phonon-phonon scattering

../../_images/fig_scat_rates5711.png

(b) Phonon scattering rates

Cumulative and spectral thermal conductivity

../../_images/fig_cumu_frequency5712.png

(a) Spectral and cumulative thermal conductivity w.r.t frequency

../../_images/fig_cumu_mfp5711.png

(b) Spectral and cumulative thermal conductivity w.r.t MFP

Force constants

../../_images/fig_fc213289.png

(a) Force constants w.r.t atomic distance

Summary

../../_images/fig_kappa10847.png

(a) Temperature-dependent lattice thermal conductivity

../../_images/fig_times22940.png

(b) Computation time