mp-18112-2/Sr2Ge2Se5/anharm

Equation of state

../../_images/fig_bm6886.png

(a) Equation of state

Harmonic properties

../../_images/fig_bandos_pr13782.png

(a) Phonon dispersion with participation ratio and DOS

../../_images/fig_thermo13782.png

(b) Thermodynamic properties

Grüneisen parameters

../../_images/fig_gru_all5809.png

(a) Grüneisen parameters

../../_images/fig_gruneisen5809.png

(b) Phonon dispersion with Grüneisen parameters

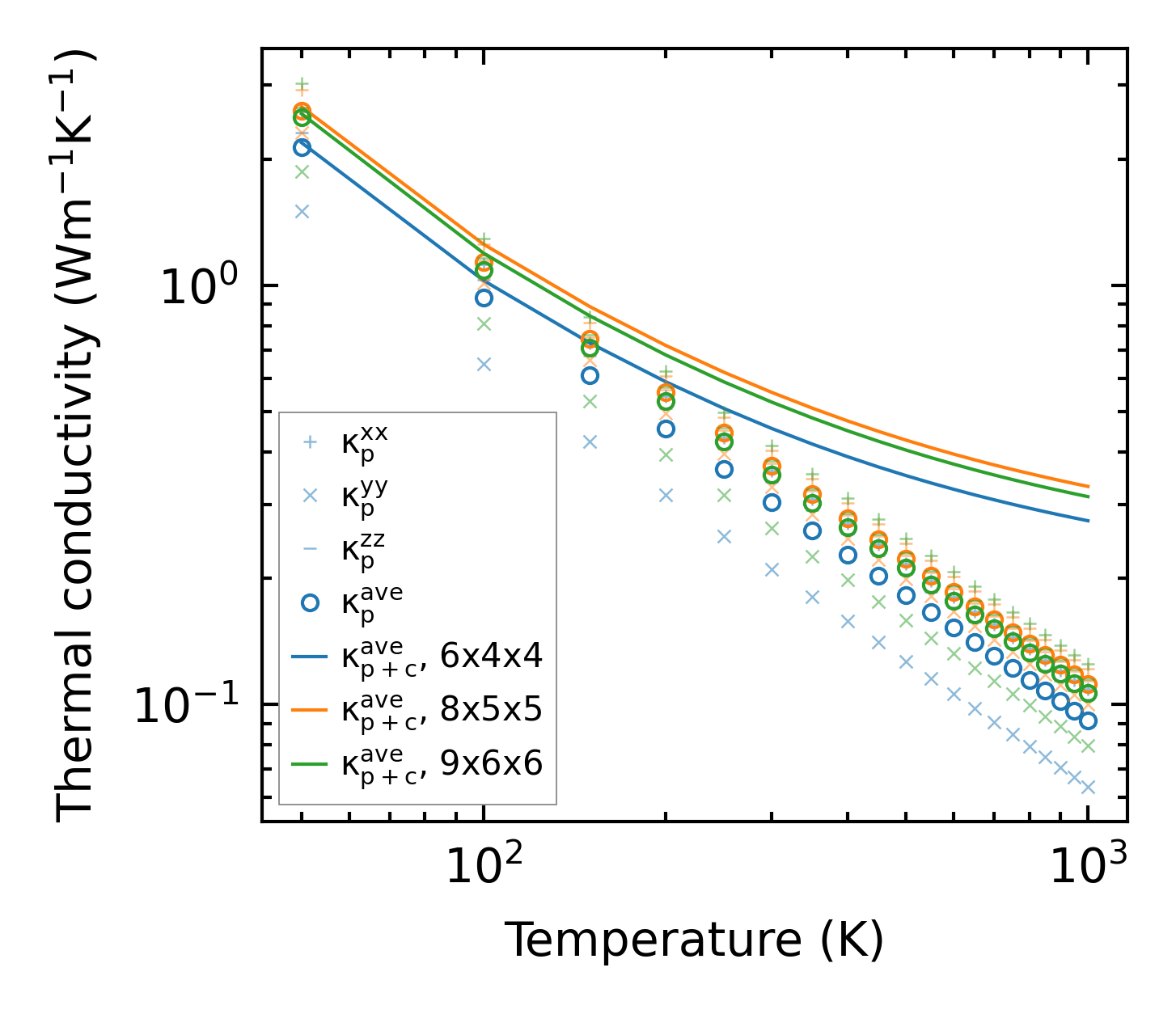
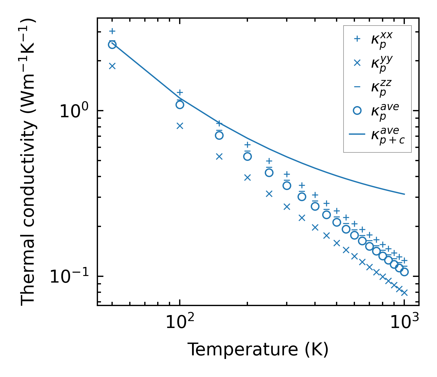
Thermal conductivity

3-phonon (LASSO) — q-mesh: 9x6x6, supercell: 2x1x2

../../_images/fig_kappa10924.png

(a) Temperature-dependent lattice thermal conductivity

../../_images/fig_kappa_vs_grain_size5880.png

(b) Peierls lattice thermal conductivity w.r.t grain size

Phonon lifetime and scattering rates

../../_images/fig_lifetime5753.png

(a) Phonon lifetime due to phonon-phonon scattering

../../_images/fig_scat_rates5752.png

(b) Phonon scattering rates

Cumulative and spectral thermal conductivity

../../_images/fig_cumu_frequency5753.png

(a) Spectral and cumulative thermal conductivity w.r.t frequency

../../_images/fig_cumu_mfp5752.png

(b) Spectral and cumulative thermal conductivity w.r.t MFP

Force constants

../../_images/fig_fc213410.png

(a) Force constants w.r.t atomic distance

Summary

../../_images/fig_kappa10925.png

(a) Temperature-dependent lattice thermal conductivity

../../_images/fig_times23108.png

(b) Computation time