mp-18407/BaSiO3/anharm

Harmonic properties

../../_images/fig_bandos_pr13867.png

(a) Phonon dispersion with participation ratio and DOS

../../_images/fig_bandos18264.png

(b) Phonon dispersion and DOS

../../_images/fig_thermo13867.png

(c) Thermodynamic properties

Grüneisen parameters

../../_images/fig_gru_all5855.png

(a) Grüneisen parameters

../../_images/fig_gruneisen5855.png

(b) Phonon dispersion with Grüneisen parameters

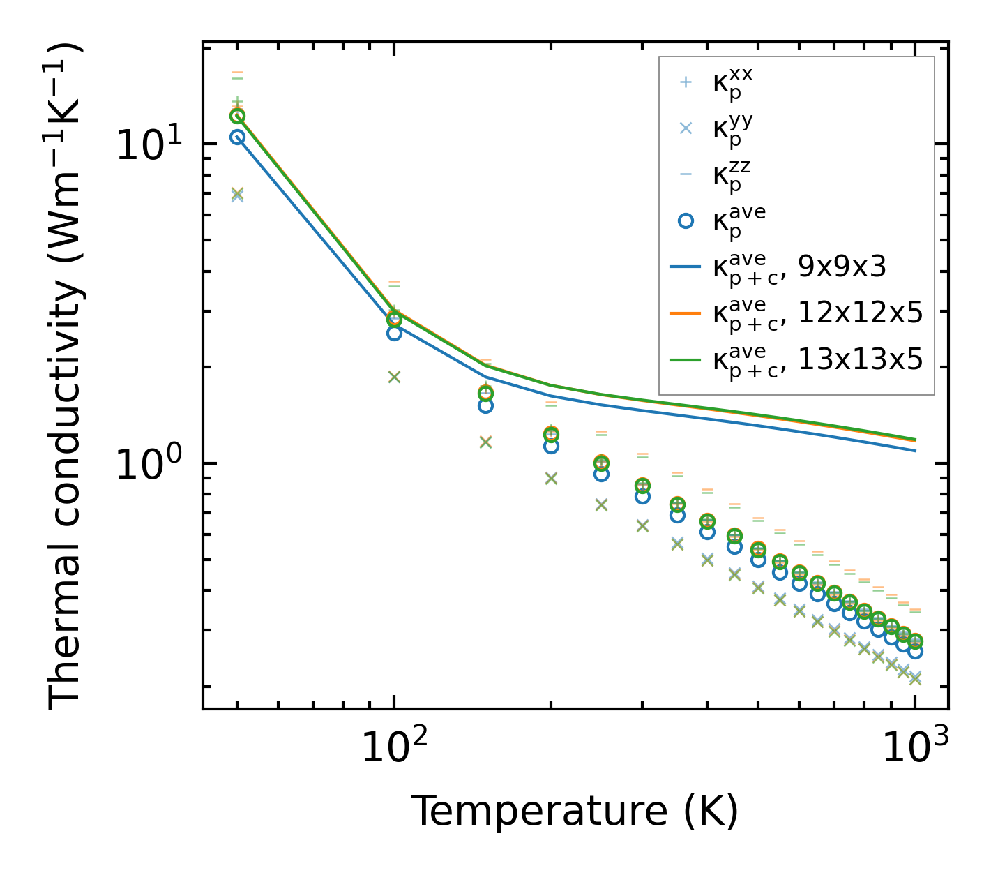
Thermal conductivity

3-phonon (LASSO) — q-mesh: 13x13x5, supercell: 2x1x1

../../_images/fig_kappa11015.png

(a) Temperature-dependent lattice thermal conductivity

../../_images/fig_kappa_vs_grain_size5929.png

(b) Peierls lattice thermal conductivity w.r.t grain size

Phonon lifetime and scattering rates

../../_images/fig_lifetime5798.png

(a) Phonon lifetime due to phonon-phonon scattering

../../_images/fig_scat_rates5797.png

(b) Phonon scattering rates

Cumulative and spectral thermal conductivity

../../_images/fig_cumu_frequency5798.png

(a) Spectral and cumulative thermal conductivity w.r.t frequency

../../_images/fig_cumu_mfp5797.png

(b) Spectral and cumulative thermal conductivity w.r.t MFP

Force constants

../../_images/fig_fc213495.png

(a) Force constants w.r.t atomic distance

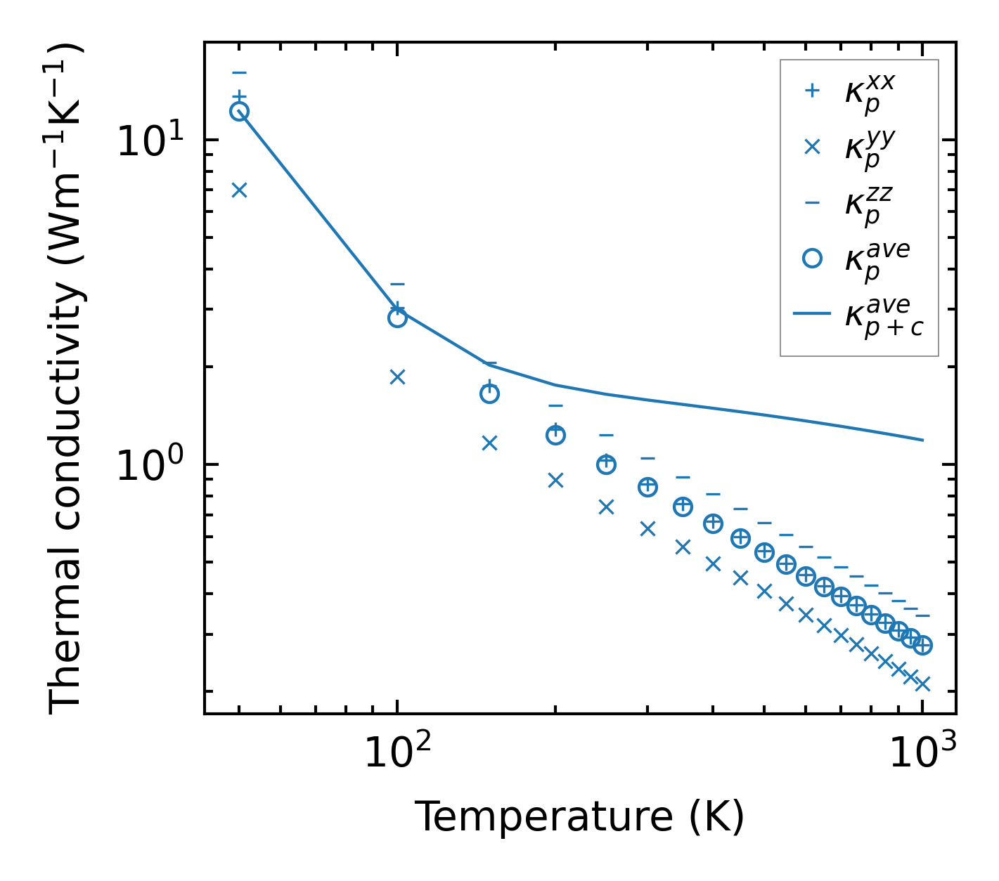
Summary

../../_images/fig_kappa11016.png

(a) Temperature-dependent lattice thermal conductivity

../../_images/fig_times23248.png

(b) Computation time