mp-18310/Si3Ag3Sn2P6/anharm

Harmonic properties

../../_images/fig_bandos_pr13834.png

(a) Phonon dispersion with participation ratio and DOS

../../_images/fig_thermo13834.png

(b) Thermodynamic properties

Grüneisen parameters

../../_images/fig_gru_all5839.png

(a) Grüneisen parameters

../../_images/fig_gruneisen5839.png

(b) Phonon dispersion with Grüneisen parameters

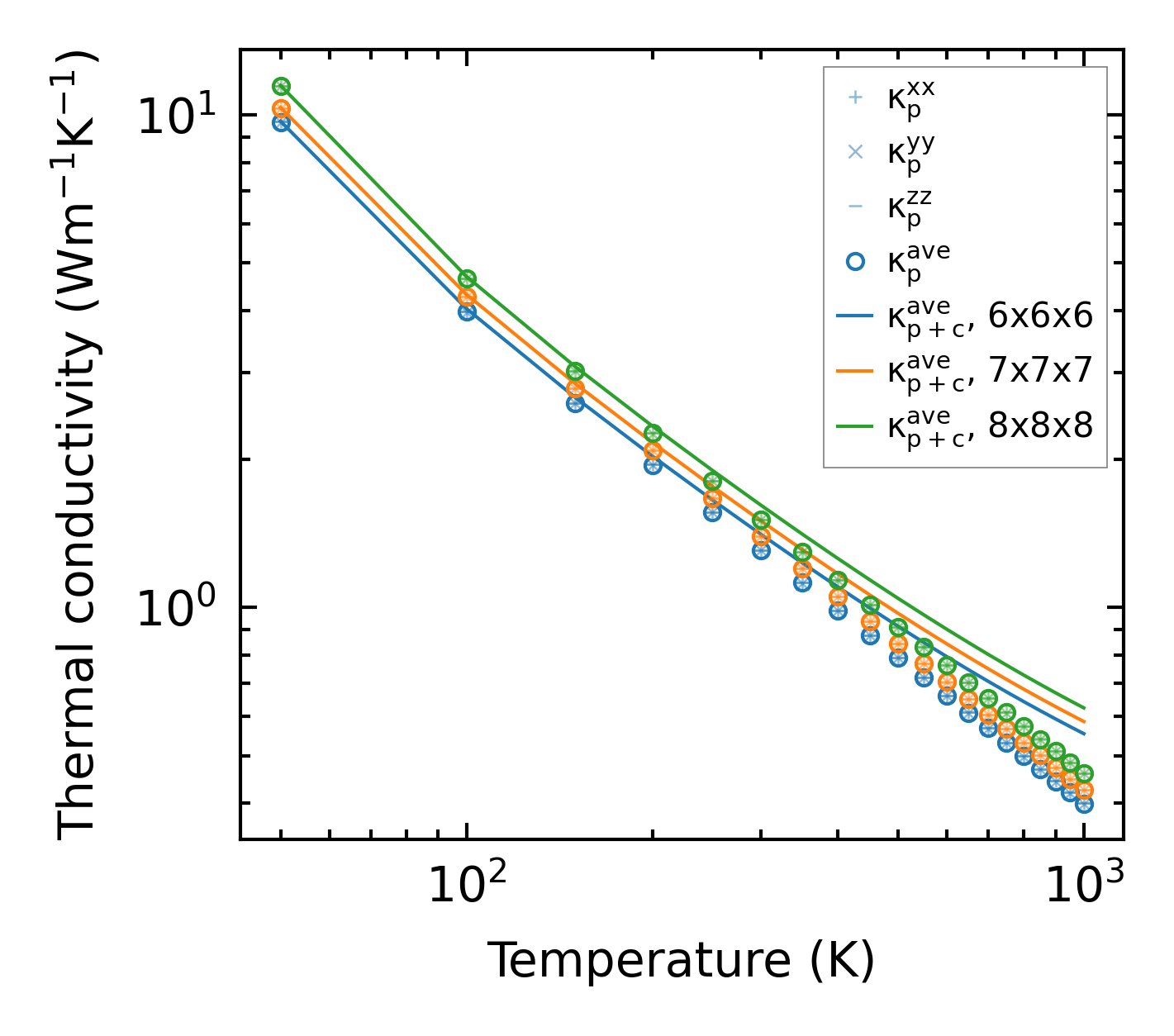
Thermal conductivity

3-phonon (LASSO) — q-mesh: 8x8x8, supercell: 1x1x1

../../_images/fig_kappa10982.png

(a) Temperature-dependent lattice thermal conductivity

../../_images/fig_kappa_vs_grain_size5912.png

(b) Peierls lattice thermal conductivity w.r.t grain size

Phonon lifetime and scattering rates

../../_images/fig_lifetime5782.png

(a) Phonon lifetime due to phonon-phonon scattering

../../_images/fig_scat_rates5781.png

(b) Phonon scattering rates

Cumulative and spectral thermal conductivity

../../_images/fig_cumu_frequency5782.png

(a) Spectral and cumulative thermal conductivity w.r.t frequency

../../_images/fig_cumu_mfp5781.png

(b) Spectral and cumulative thermal conductivity w.r.t MFP

Force constants

../../_images/fig_fc213462.png

(a) Force constants w.r.t atomic distance

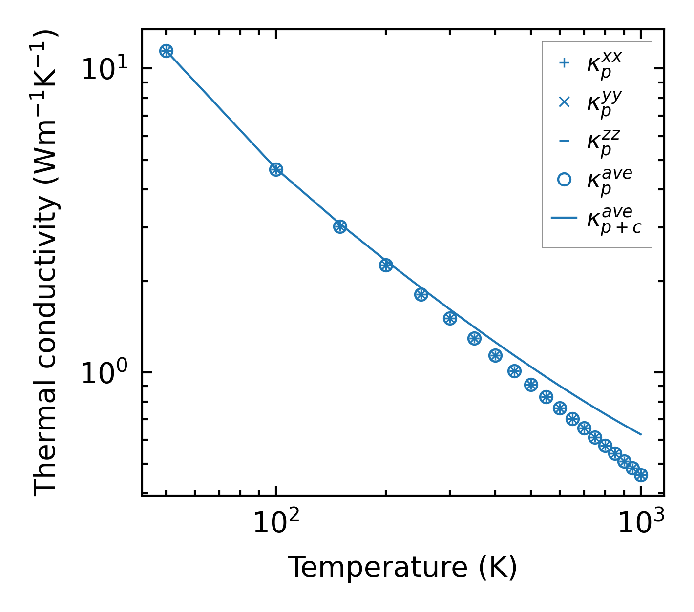
Summary

../../_images/fig_kappa10983.png

(a) Temperature-dependent lattice thermal conductivity

../../_images/fig_times23203.png

(b) Computation time