mp-18148-2/K3TaS4/anharm

Equation of state

../../_images/fig_bm6893.png

(a) Equation of state

Harmonic properties

../../_images/fig_bandos_pr13794.png

(a) Phonon dispersion with participation ratio and DOS

../../_images/fig_thermo13794.png

(b) Thermodynamic properties

Grüneisen parameters

../../_images/fig_gru_all5813.png

(a) Grüneisen parameters

../../_images/fig_gruneisen5813.png

(b) Phonon dispersion with Grüneisen parameters

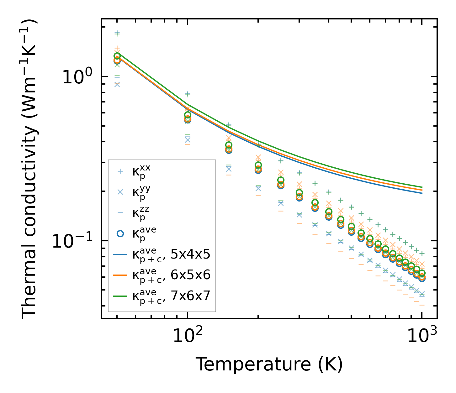
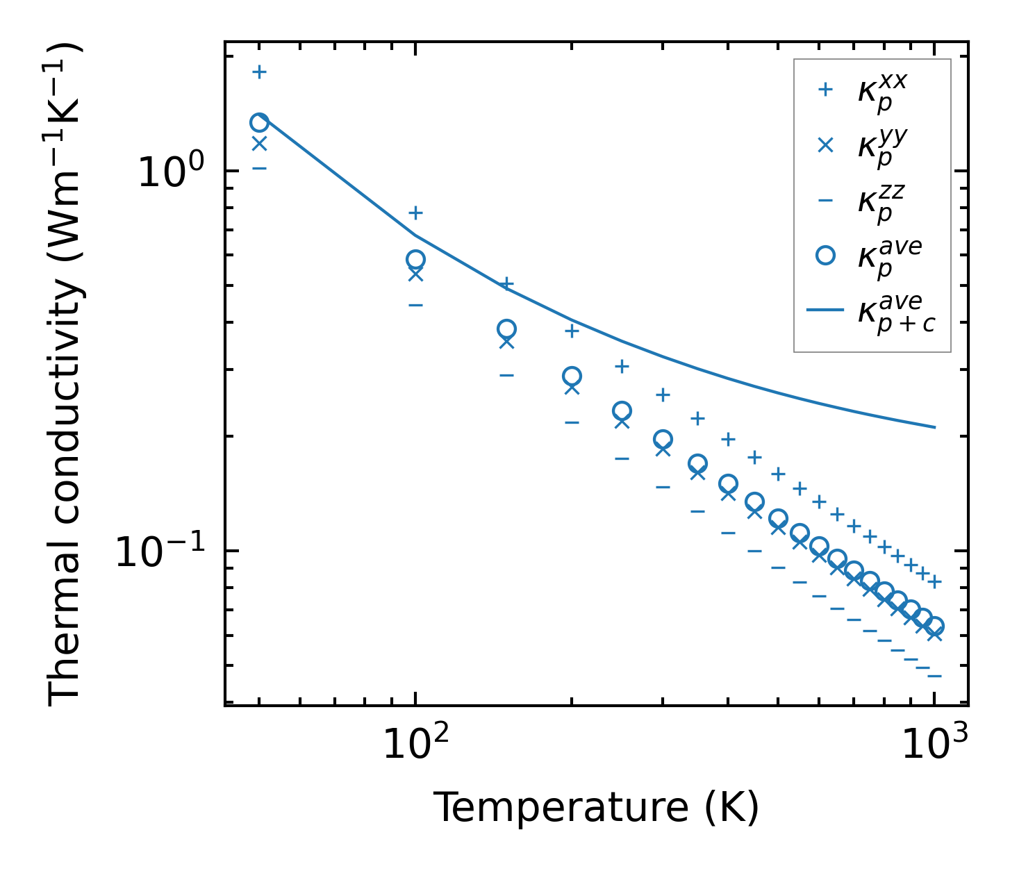
Thermal conductivity

3-phonon (LASSO) — q-mesh: 7x6x7, supercell: 2x1x2

../../_images/fig_kappa10932.png

(a) Temperature-dependent lattice thermal conductivity

../../_images/fig_kappa_vs_grain_size5884.png

(b) Peierls lattice thermal conductivity w.r.t grain size

3-phonon (LASSO), supercell 2x2x2 — q-mesh: 7x6x7, supercell: 2x2x2

../../_images/fig_kappa10933.png

(a) Temperature-dependent lattice thermal conductivity

../../_images/fig_kappa_vs_grain_size5885.png

(b) Peierls lattice thermal conductivity w.r.t grain size

Phonon lifetime and scattering rates

../../_images/fig_lifetime5757.png

(a) Phonon lifetime due to phonon-phonon scattering

../../_images/fig_scat_rates5756.png

(b) Phonon scattering rates

Cumulative and spectral thermal conductivity

../../_images/fig_cumu_frequency5757.png

(a) Spectral and cumulative thermal conductivity w.r.t frequency

../../_images/fig_cumu_mfp5756.png

(b) Spectral and cumulative thermal conductivity w.r.t MFP

Force constants

../../_images/fig_fc213422.png

(a) Force constants w.r.t atomic distance

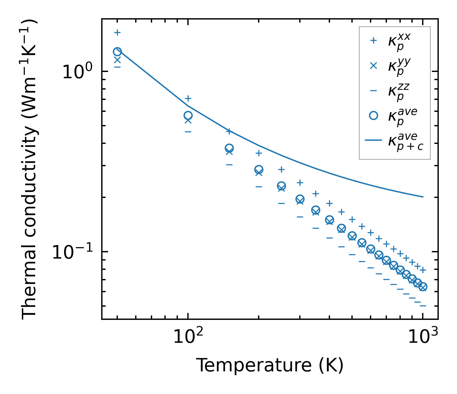
Summary

../../_images/fig_kappa10934.png

(a) Temperature-dependent lattice thermal conductivity

../../_images/fig_times23126.png

(b) Computation time