mp-18411/Na3GeSe3/anharm

Harmonic properties

../../_images/fig_bandos_pr13868.png

(a) Phonon dispersion with participation ratio and DOS

../../_images/fig_thermo13868.png

(b) Thermodynamic properties

Grüneisen parameters

../../_images/fig_gru_all5856.png

(a) Grüneisen parameters

../../_images/fig_gruneisen5856.png

(b) Phonon dispersion with Grüneisen parameters

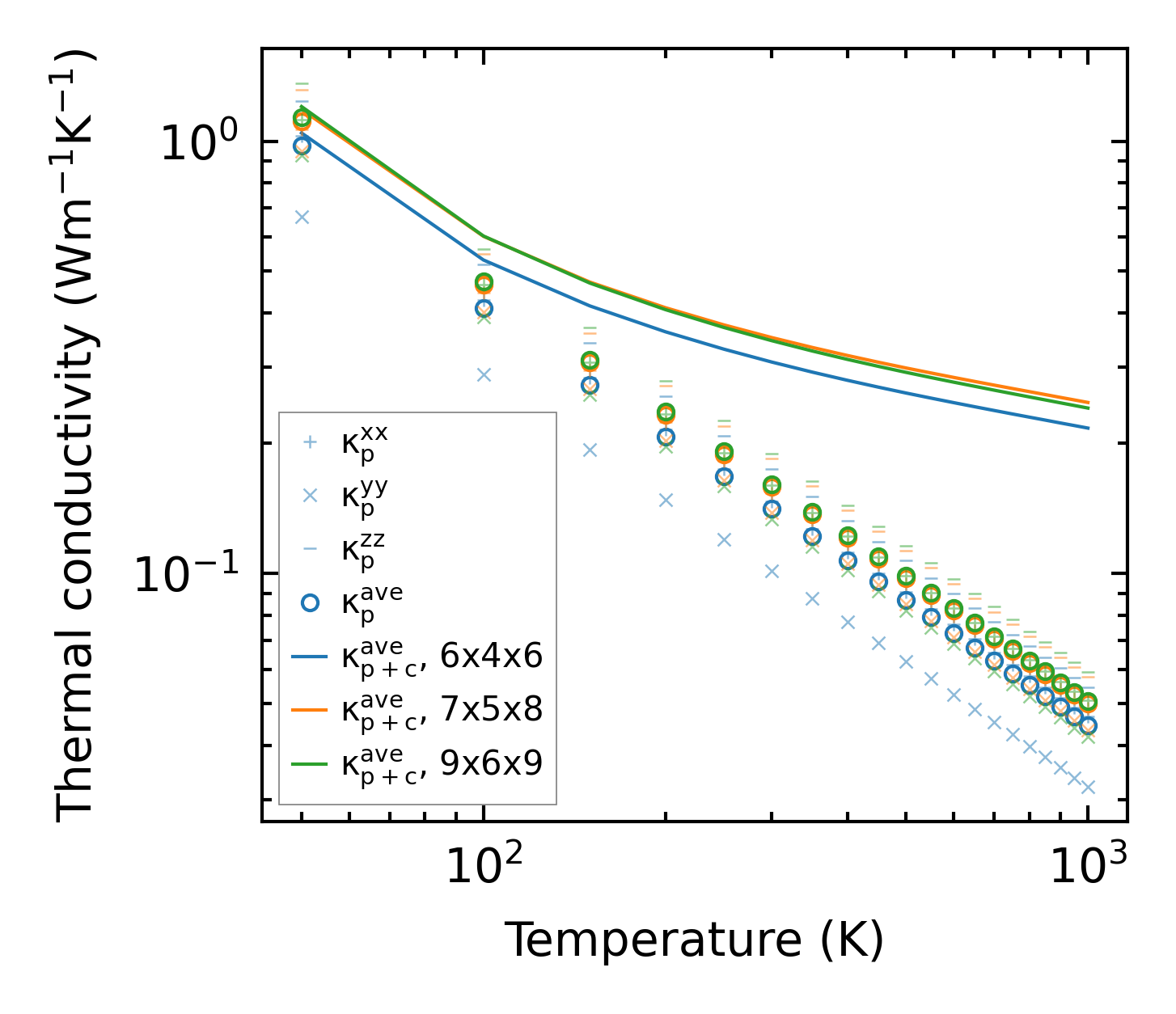
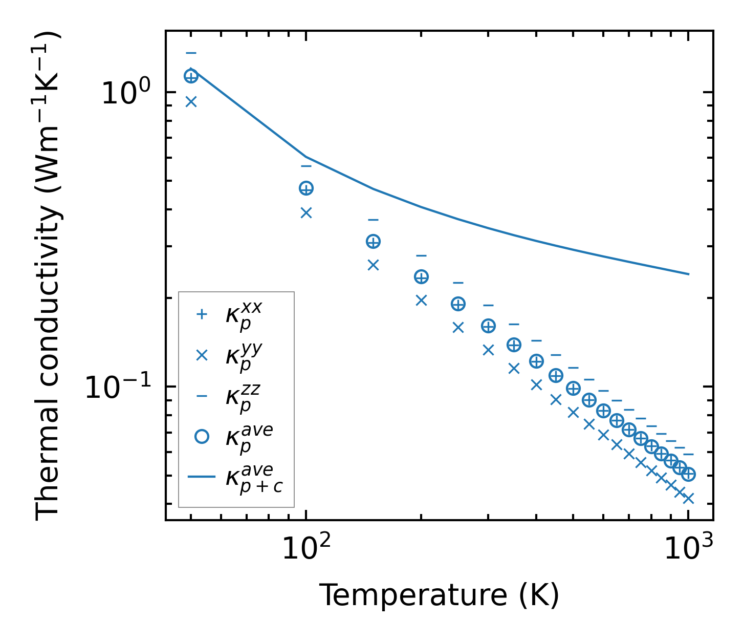
Thermal conductivity

3-phonon (LASSO) — q-mesh: 9x6x9, supercell: 2x1x2

../../_images/fig_kappa11017.png

(a) Temperature-dependent lattice thermal conductivity

../../_images/fig_kappa_vs_grain_size5930.png

(b) Peierls lattice thermal conductivity w.r.t grain size

Phonon lifetime and scattering rates

../../_images/fig_lifetime5799.png

(a) Phonon lifetime due to phonon-phonon scattering

../../_images/fig_scat_rates5798.png

(b) Phonon scattering rates

Cumulative and spectral thermal conductivity

../../_images/fig_cumu_frequency5799.png

(a) Spectral and cumulative thermal conductivity w.r.t frequency

../../_images/fig_cumu_mfp5798.png

(b) Spectral and cumulative thermal conductivity w.r.t MFP

Force constants

../../_images/fig_fc213496.png

(a) Force constants w.r.t atomic distance

Summary

../../_images/fig_kappa11018.png

(a) Temperature-dependent lattice thermal conductivity

../../_images/fig_times23249.png

(b) Computation time