mp-18734/HoVO4/anharm

Equation of state

../../_images/fig_bm6791.png

(a) Equation of state

Harmonic properties

../../_images/fig_bandos_pr13598.png

(a) Phonon dispersion with participation ratio and DOS

../../_images/fig_bandos17959.png

(b) Phonon dispersion and DOS

../../_images/fig_thermo13598.png

(c) Thermodynamic properties

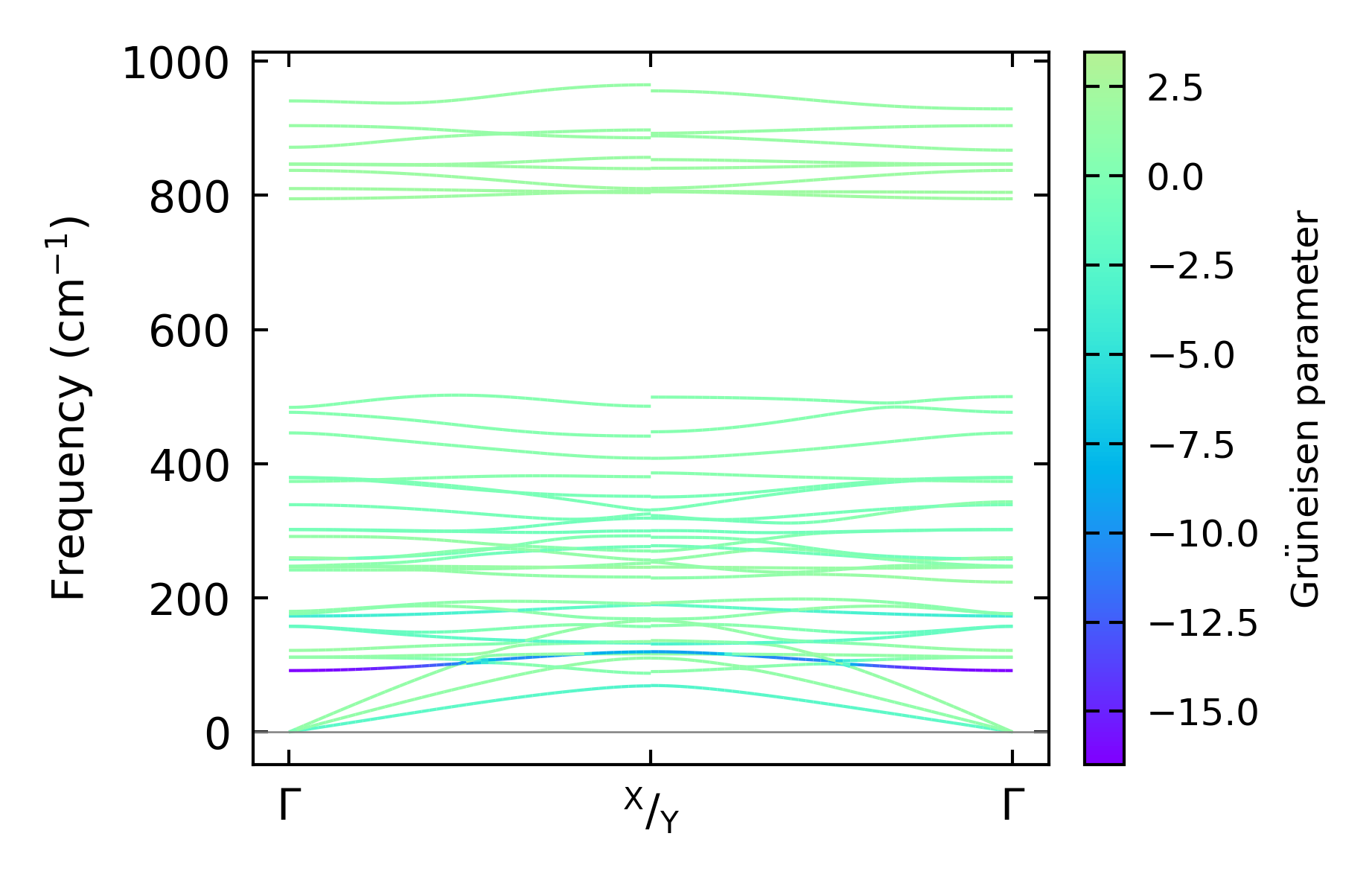
Grüneisen parameters

../../_images/fig_gru_all5752.png

(a) Grüneisen parameters

../../_images/fig_gruneisen5752.png

(b) Phonon dispersion with Grüneisen parameters

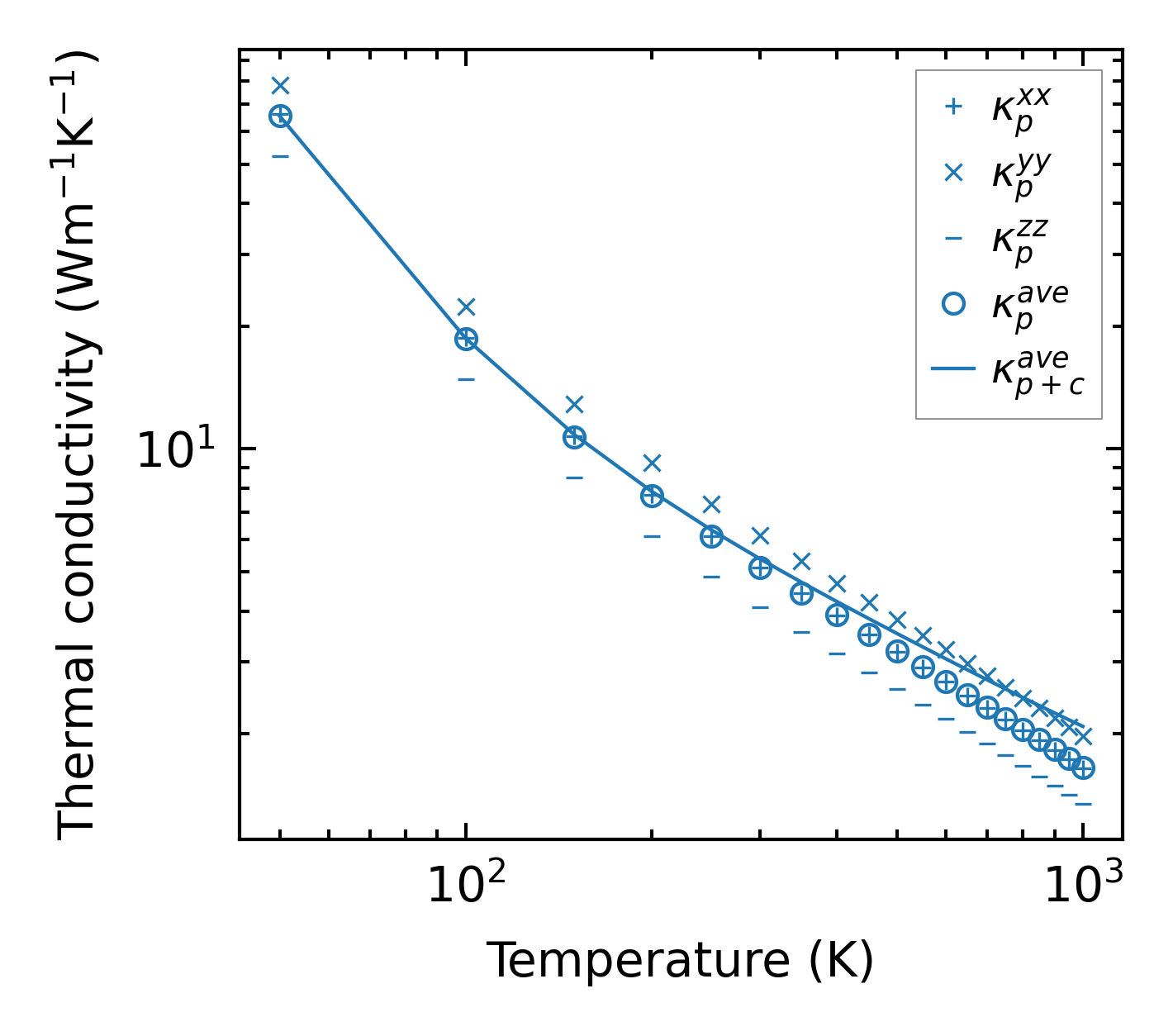
Thermal conductivity

3-phonon (LASSO) — q-mesh: 13x13x13, supercell: 3x2x2

../../_images/fig_kappa10816.png

(a) Temperature-dependent lattice thermal conductivity

../../_images/fig_kappa_vs_grain_size5822.png

(b) Peierls lattice thermal conductivity w.r.t grain size

3-phonon (LASSO), supercell 3x3x2 — q-mesh: 13x13x13, supercell: 3x3x2

../../_images/fig_kappa10817.png

(a) Temperature-dependent lattice thermal conductivity

../../_images/fig_kappa_vs_grain_size5823.png

(b) Peierls lattice thermal conductivity w.r.t grain size

Phonon lifetime and scattering rates

../../_images/fig_lifetime5697.png

(a) Phonon lifetime due to phonon-phonon scattering

../../_images/fig_scat_rates5696.png

(b) Phonon scattering rates

Cumulative and spectral thermal conductivity

../../_images/fig_cumu_frequency5697.png

(a) Spectral and cumulative thermal conductivity w.r.t frequency

../../_images/fig_cumu_mfp5696.png

(b) Spectral and cumulative thermal conductivity w.r.t MFP

Force constants

../../_images/fig_fc213226.png

(a) Force constants w.r.t atomic distance

Summary

../../_images/fig_kappa10818.png

(a) Temperature-dependent lattice thermal conductivity

../../_images/fig_times22853.png

(b) Computation time