mp-18662/Ho2Si2O7/anharm

Harmonic properties

../../_images/fig_bandos_pr13581.png

(a) Phonon dispersion with participation ratio and DOS

../../_images/fig_thermo13581.png

(b) Thermodynamic properties

Grüneisen parameters

../../_images/fig_gru_all5748.png

(a) Grüneisen parameters

../../_images/fig_gruneisen5748.png

(b) Phonon dispersion with Grüneisen parameters

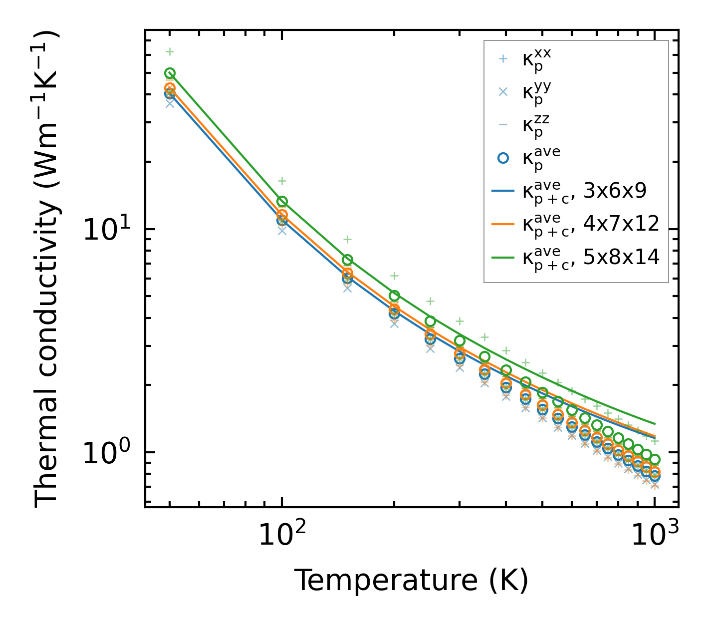
Thermal conductivity

3-phonon (LASSO) — q-mesh: 5x8x14, supercell: 1x1x2

../../_images/fig_kappa10808.png

(a) Temperature-dependent lattice thermal conductivity

../../_images/fig_kappa_vs_grain_size5818.png

(b) Peierls lattice thermal conductivity w.r.t grain size

Phonon lifetime and scattering rates

../../_images/fig_lifetime5693.png

(a) Phonon lifetime due to phonon-phonon scattering

../../_images/fig_scat_rates5692.png

(b) Phonon scattering rates

Cumulative and spectral thermal conductivity

../../_images/fig_cumu_frequency5693.png

(a) Spectral and cumulative thermal conductivity w.r.t frequency

../../_images/fig_cumu_mfp5692.png

(b) Spectral and cumulative thermal conductivity w.r.t MFP

Force constants

../../_images/fig_fc213209.png

(a) Force constants w.r.t atomic distance

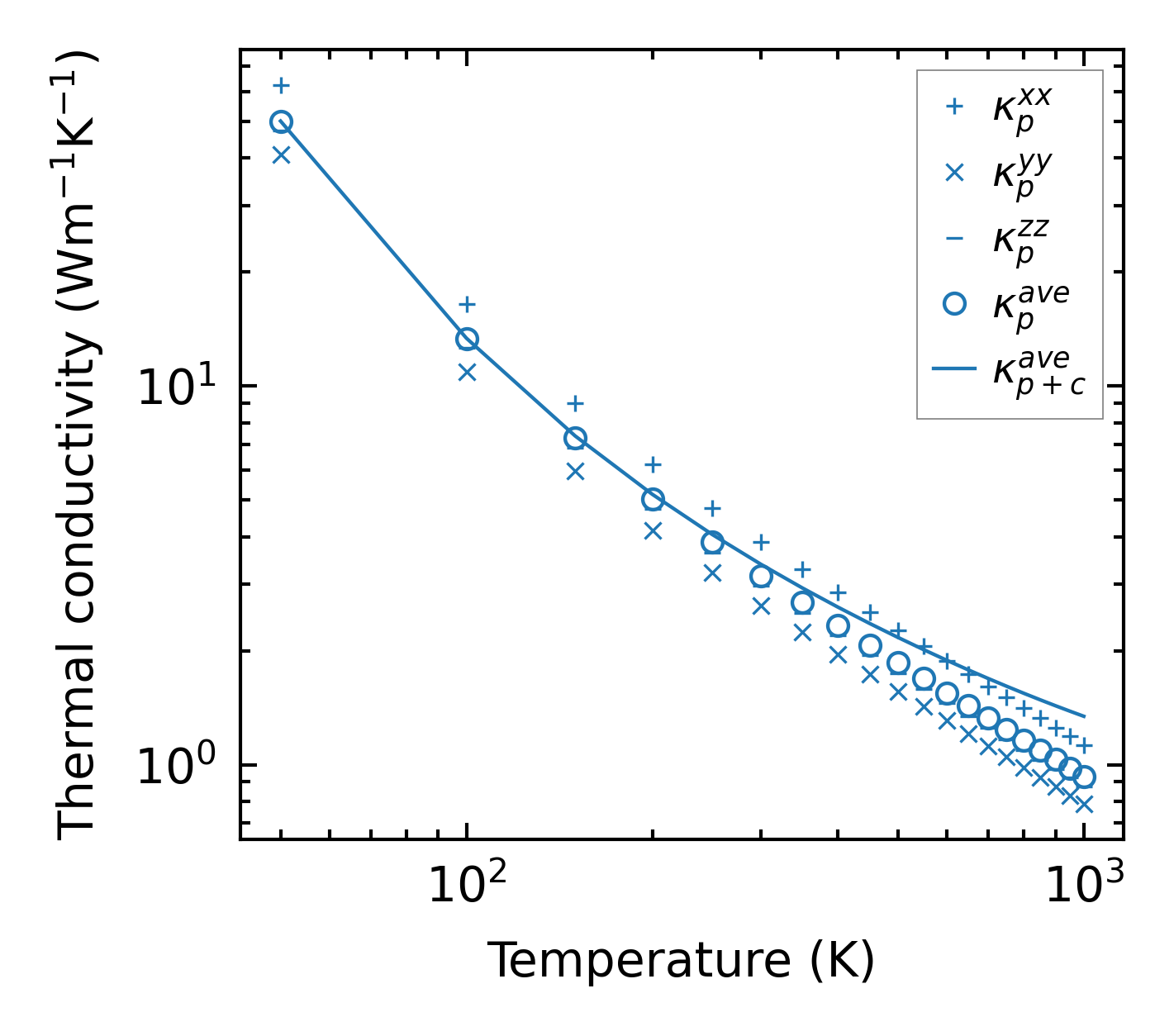
Summary

../../_images/fig_kappa10809.png

(a) Temperature-dependent lattice thermal conductivity

../../_images/fig_times22831.png

(b) Computation time