mp-18584/Ho2SiSeO4/anharm

Harmonic properties

../../_images/fig_bandos_pr13558.png

(a) Phonon dispersion with participation ratio and DOS

../../_images/fig_thermo13558.png

(b) Thermodynamic properties

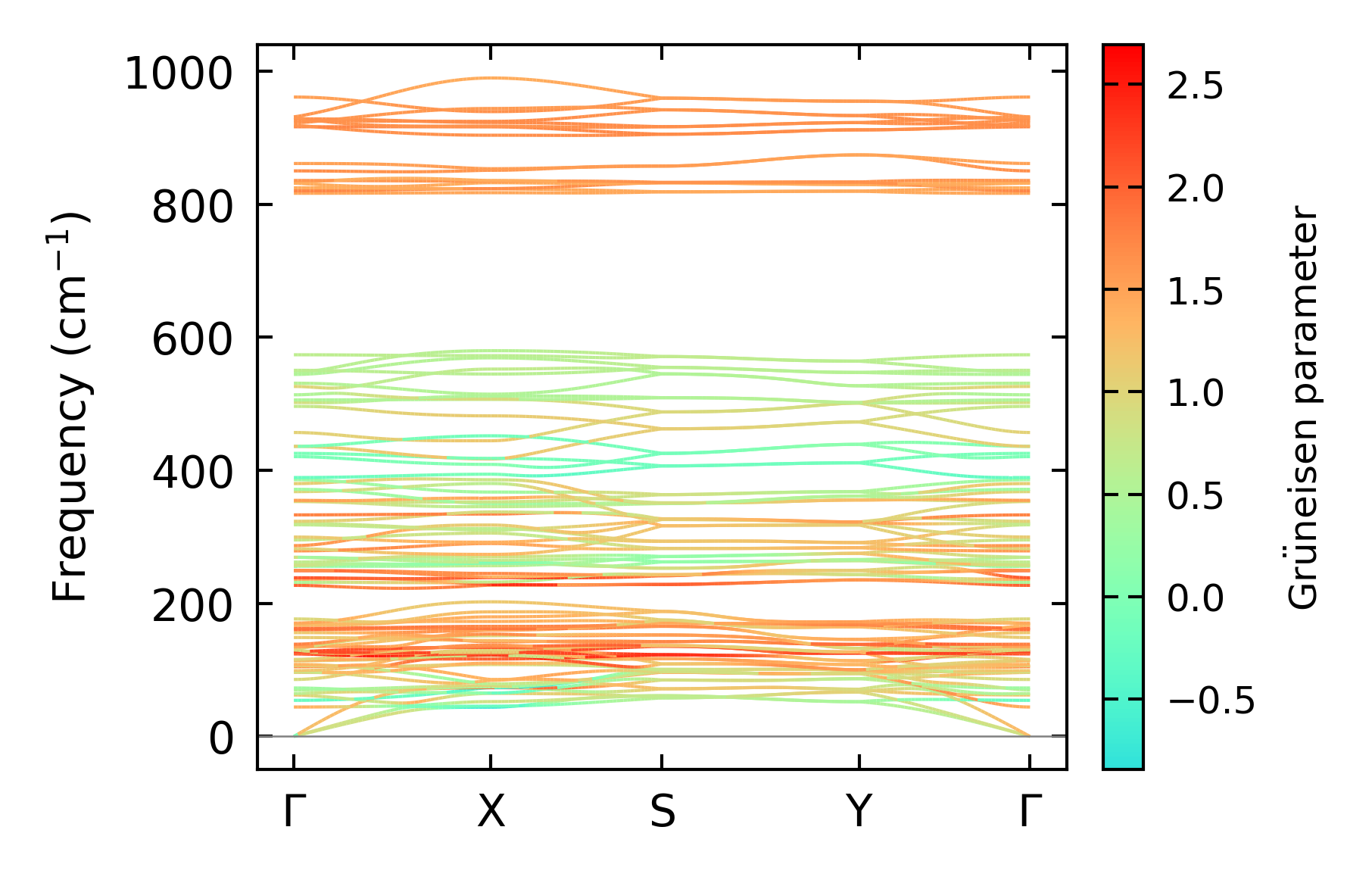
Grüneisen parameters

../../_images/fig_gru_all5738.png

(a) Grüneisen parameters

../../_images/fig_gruneisen5738.png

(b) Phonon dispersion with Grüneisen parameters

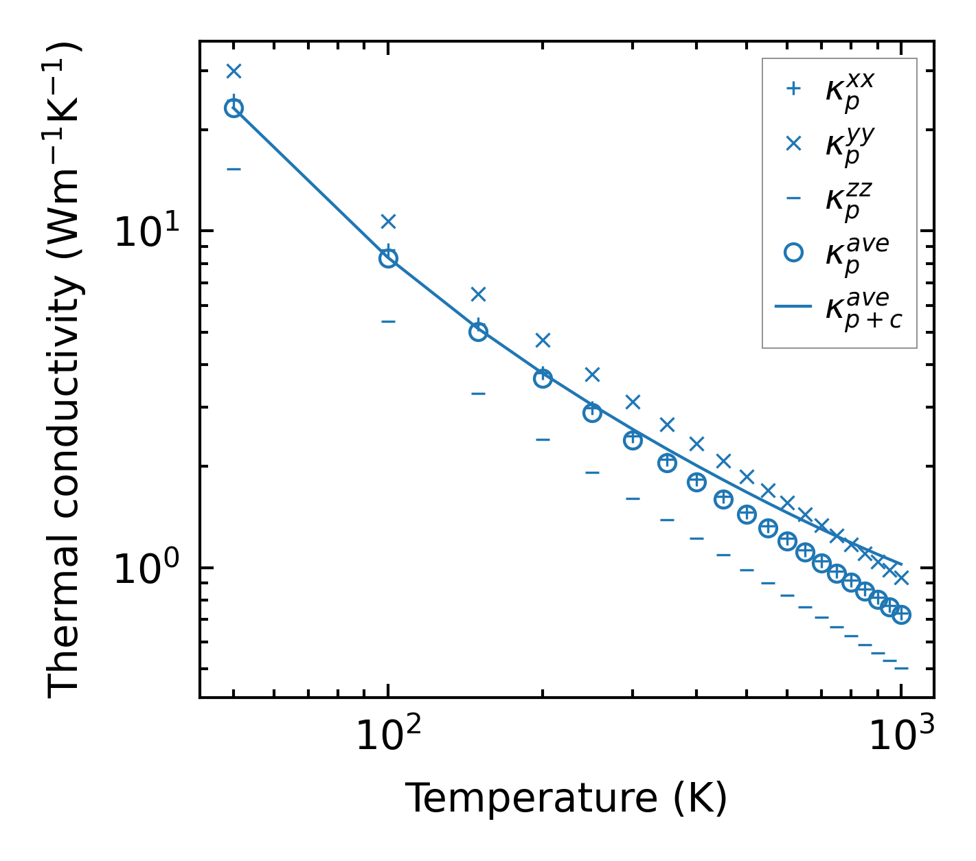
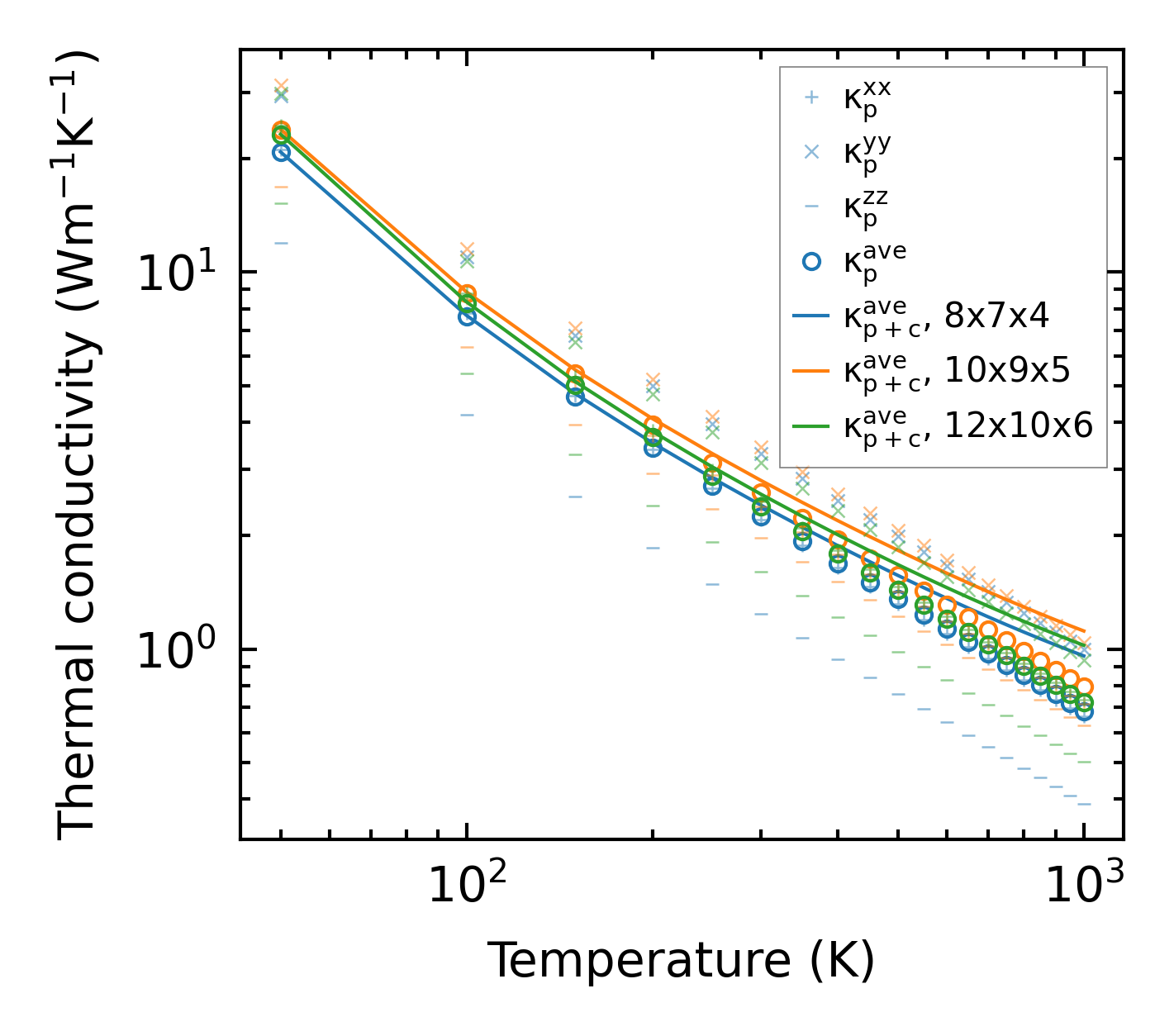
Thermal conductivity

3-phonon (LASSO) — q-mesh: 12x10x6, supercell: 2x2x1

../../_images/fig_kappa10788.png

(a) Temperature-dependent lattice thermal conductivity

../../_images/fig_kappa_vs_grain_size5807.png

(b) Peierls lattice thermal conductivity w.r.t grain size

Phonon lifetime and scattering rates

../../_images/fig_lifetime5683.png

(a) Phonon lifetime due to phonon-phonon scattering

../../_images/fig_scat_rates5682.png

(b) Phonon scattering rates

Cumulative and spectral thermal conductivity

../../_images/fig_cumu_frequency5683.png

(a) Spectral and cumulative thermal conductivity w.r.t frequency

../../_images/fig_cumu_mfp5682.png

(b) Spectral and cumulative thermal conductivity w.r.t MFP

Force constants

../../_images/fig_fc213186.png

(a) Force constants w.r.t atomic distance

Summary

../../_images/fig_kappa10789.png

(a) Temperature-dependent lattice thermal conductivity

../../_images/fig_times22802.png

(b) Computation time